Artery Research

Volume 25, Issue Supplement 1, December 2019, Pages S57 - S58

P15 Reference Intervals of 24-hour Central Blood Pressure Assessed with an Oscillometric Device in Healthy Children and Adolescents

Authors
Igor Posokhov1, *, Alexandr Sharykin2, Inna Trunina2
1Hemodynamic Laboratory Ltd, Nyzhny Novgorod, Russia
2Pirogov Russian National Research Medical University, Moscow, Russia
*Corresponding author. Email: igor@posohov.ru
Corresponding Author
Igor Posokhov
Available Online 15 February 2020.
DOI
10.2991/artres.k.191224.049How to use a DOI?
Abstract

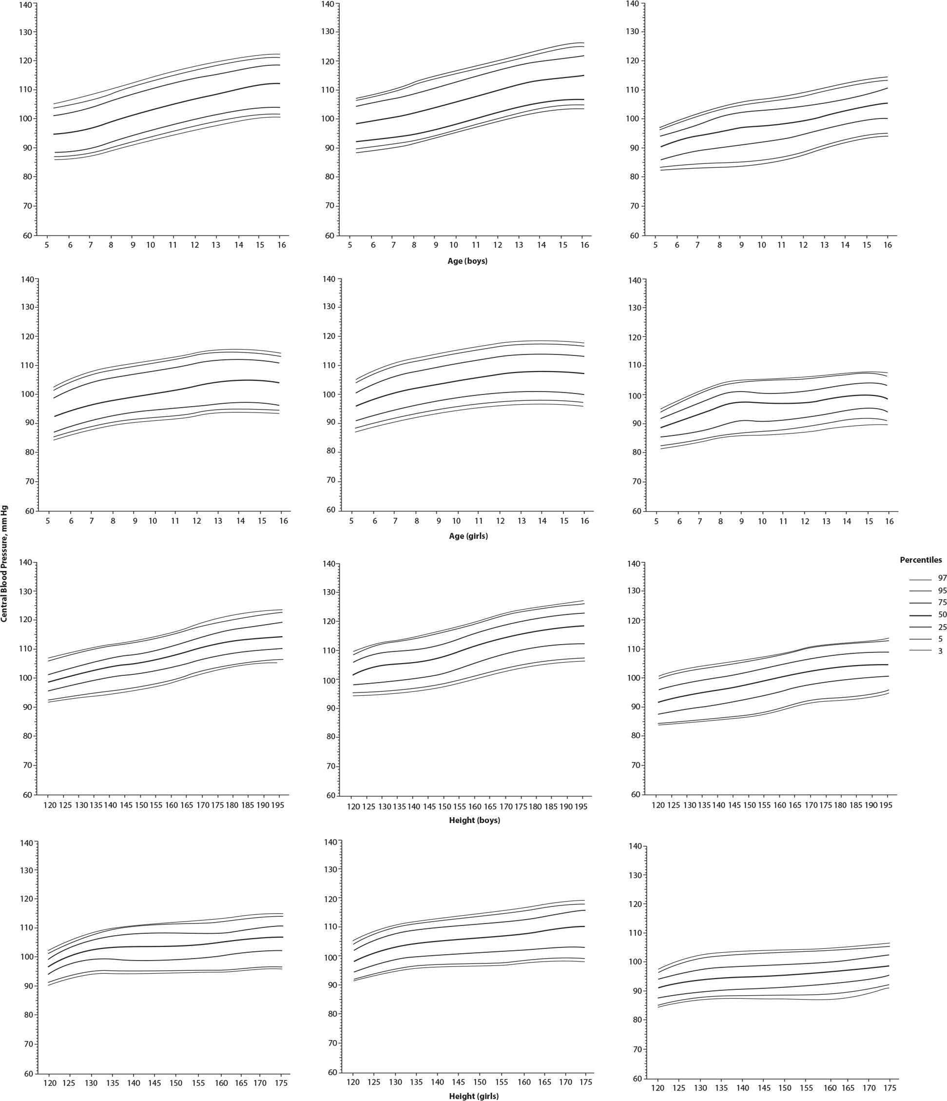
Reference intervals (RI) of 24-h central blood pressure (24CBP) obtained from large healthy population are lacking in Russia. We had to generated 24CBP percentile curves and RI adjusted to each level of age and/or body height and gender of each time of monitoring (24-h, daytime or nighttime). Our database consisted of ABPM files received by the BPLab device (Petr Telegin, Russia). First, we selected ABPM files that corresponded to the normal ambulatory BP according to 2016 European guidelines [1] from our database. Second, we have excluded files that indicate antihypertensive treatment, elevated BMI and any disease in extended BPLab-diary. Third, age specific percentiles curves were generated with LMS Chartmaker Pro (UK). RI of 24CBP (n = 1085) are shown in Figure 1 (image 1). Day-time values of the CBP were higher than those obtained by other oscillometric devices in office conditions [2,3]. This can be explained by the known fact of higher values of BP in ABPM compared with office measurements in the children and adolescents.

Conclusion: We have obtained RI of 24CBP for youth that can be used in routine practice.

Copyright
© 2019 Association for Research into Arterial Structure and Physiology. Publishing services by Atlantis Press International B.V.
Open Access
This is an open access article distributed under the CC BY-NC 4.0 license (http://creativecommons.org/licenses/by-nc/4.0/).

Download article (PDF)
View full text (HTML)

Journal
Artery Research
Volume-Issue
25 - Supplement 1
Pages
S57 - S58
Publication Date
2020/02/15
ISSN (Online)
1876-4401
ISSN (Print)
1872-9312
DOI
10.2991/artres.k.191224.049How to use a DOI?
Copyright
© 2019 Association for Research into Arterial Structure and Physiology. Publishing services by Atlantis Press International B.V.
Open Access
This is an open access article distributed under the CC BY-NC 4.0 license (http://creativecommons.org/licenses/by-nc/4.0/).

Cite this article

TY  - JOUR
AU  - Igor Posokhov
AU  - Alexandr Sharykin
AU  - Inna Trunina
PY  - 2020
DA  - 2020/02/15
TI  - P15 Reference Intervals of 24-hour Central Blood Pressure Assessed with an Oscillometric Device in Healthy Children and Adolescents
JO  - Artery Research
SP  - S57
EP  - S58
VL  - 25
IS  - Supplement 1
SN  - 1876-4401
UR  - https://doi.org/10.2991/artres.k.191224.049
DO  - 10.2991/artres.k.191224.049
ID  - Posokhov2020
ER  -