International Journal of Computational Intelligence Systems

Volume 13, Issue 1, 2020, Pages 1265 - 1280

Cubic Graphs and Their Application to a Traffic Flow Problem

Authors
G. Muhiuddin1, *, ORCID, M. Mohseni Takallo2, ORCID, Y. B. Jun2, 3, R. A. Borzooei2, ORCID
1Department of Mathematics, University of Tabuk, Tabuk 71491, Saudi Arabia
2Department of Mathematics, Shahid Beheshti University, Tehran 1983969411, Iran
3Department of Mathematics Education, Gyeongsang National University, Jinju 52828, Korea
*Corresponding author. Email: chishtygm@gmail.com
Corresponding Author
G. Muhiuddin
Received 10 March 2020, Accepted 14 July 2020, Available Online 18 August 2020.
DOI
10.2991/ijcis.d.200730.002How to use a DOI?
Keywords
Cubic set; Interval-valued fuzzy set; Cubic graph; (complete, strong) cubic graph; Cubic (bridge, cutvertex); Traffic flows
Abstract

A graph structure is a useful tool in solving the combinatorial problems in different areas of computer science and computational intelligence systems. In this paper, we introduce the concept of cubic graph, which is different from the notion of cubic graph in S. Rashid, N. Yaqoob, M. Akram, M. Gulistan, Cubic graphs with application, Int. J. Anal. Appl. 16 (2018), 733–750, and investigate some of their interesting properties. Then we define the notions of cubic path, cubic cycle, cubic diameter, strength of cubic graph, complete cubic graph, strong cubic graph and illustrate these notions by several examples. We prove that any cubic bridge is strong and we investigate equivalent condition for cubic cutvertex. Finally, we use the concept of cubic graphs in traffic flows to get the least time to reach the destination.

Copyright
© 2020 The Authors. Published by Atlantis Press B.V.
Open Access
This is an open access article distributed under the CC BY-NC 4.0 license (http://creativecommons.org/licenses/by-nc/4.0/).

1. INTRODUCTION

Graph theoretical concepts are widely used to study and model various applications in different areas including computer science, computational intelligence, automata theory, operations research, economics, and transportation. However, in many cases, some aspects of a graph-theoretic problem may be vague or uncertain. Fuzzy graphs were introduced by Rosenfeld [1], ten years after Zadeh's landmark paper “Fuzzy Sets” (briefly F-set) [2]. Rosenfeld has obtained the fuzzy analogs of several basic graph-theoretic concepts like bridges, paths, cycles, trees and connectedness and established some of their properties. In 1975, Zadeh [3] introduced the notion of interval-valued fuzzy sets (briefly IVF-set) as an extension of fuzzy sets in which the values of the membership degrees are intervals of numbers instead of the numbers. Interval-valued fuzzy sets provide a more adequate description of uncertainty than traditional fuzzy sets. It is therefore important to use interval-valued fuzzy sets in applications, such as fuzzy control. Hongmei and Lianhua gave the definition of interval-valued graph in [4]. Akram et al. [5,6] introduced interval-valued fuzzy graph as an extension of fuzzy graph and established some of their properties. Moreover, some researchers applied fuzzy sets, interval-valued fuzzy sets, intuitionistic fuzzy sets, vague sets and neutrosophic sets etc., on graphs [722]. In 2012, Jun et al. [23] combined the theory of the interval-valued fuzzy set with the fuzzy set, and introduced the notion of cubic set. Moreover, they defined and studied some basic operations and their properties. Later on, a number of research papers have been devoted to the study of cubic set theory on various aspects in several algebraic structures (see for e.g., [2435]).

Now, in the real life, some phenomena can be modeled with fuzzy graph concepts and some with interval-valued graph concepts. But there are some more complex phenomena that cannot be expressed alone, and can be modeled with a combination of both, that is cubic graphs. For example, traffic flows.

For this reason, Rashid et al. [18] applied cubic sets on graphs and introduced the notion of cubic graphs. But we thinks that this definition is not correct, since in the special case it is not a fuzzy graph.

So, in this article we introduce the correct notion of cubic graph which is different from the cubic graph in [18]. We define the notions of IVF-path, F-path, cubic path, IVF-diameter, F-diameter, cubic diameter, strength of cubic graph, IVF-complete cubic graph, F-complete cubic graph, complete cubic graph, IVF-strong cubic graph, F-strong cubic graph, strong cubic graph. We provide several examples to illustrate these notions, and investigate several properties. We give (P,P)-order, (P,R)-order, (R,P)-order and (R,R)-order between cubic graphs, and define the concepts of (P,P)-subcubic graph, (P,R)-subcubic graph, (R,P)-subcubic graph and (R,R)-subcubic graph. We also introduce the concepts of cubic bridge and cubic cutvertex, and investigate related properties. Finally, we use the concept of cubic graphs in traffic flows to get the least time to reach the destination.

2. PRELIMINARIES

A fuzzy set is a pair (Y,ρ) where Y is a set and ρ:Yι is a membership function (where ι=[0,1]). Denote by ιY the collection of all fuzzy sets on a set Y. For a family {ρiiΩ}ιY, we define the join () and meet () operations as follows:

iΩρi(y)=sup{ρi(y)iΩ}
iΩρi(y)=inf{ρi(y)iΩ},
respectively, for all yY. (see [23])

By an interval number we mean a closed subinterval τ̃=τ,τ+ of ι, where 0ττ+1. The interval number τ̃=τ,τ+ with τ=τ+ is written by τ. Denote by [ι] the set of all interval numbers. Also, we define refined minimum (briefly, rmin) of two elements in [ι]. We also define the symbols “”, “”, “=” in case of two elements in [ι]. Consider two interval numbers τ̃1:=τ1,τ1+ and τ̃2:=τ2,τ2+. Then

rminτ̃1,τ̃2=minτ1,τ2,minτ1+,τ2+
τ̃1τ̃2τ1τ2,τ1+τ2+
and similarly, τ̃1τ̃2 and τ̃1=τ̃2. To say τ̃1τ̃2 (resp. τ̃1τ̃2) we mean ã1τ̃2 and τ̃1τ̃2 (resp. τ̃1τ̃2 and τ̃1τ̃2). Let τ̃i[ι] where iΩ. We define
rinfiΩτ̃i=infiΩτi,infiΩτi+
rsupiΩτ̃i=supiΩτi,supiΩτi+.

For any τ̃[ι], its complement, denoted by τ̃c, is defined be the interval number τ̃c=[1τ+,1τ].

An interval-valued fuzzy set (briefly, an IVF set) on nonempty set Y is defined by a function Γ:Y[ι]. Denote by [ι]Y stand for the set of all IVF sets in Y. For every Γ[ι]Y and yY, Γ(y)=Γ(y),Γ+(y) is called the degree of membership of an element y to Γ, where Γ+IY which are called a lower fuzzy set and an upper fuzzy set in Y, respectively. For simplicity, we denote Γ=[Γ,Γ+]. For every Γ,Δ[ι]Y and yY, we define

ΓΔΓ(y)Δ(y),Γ=ΔΓ(y)=Δ(y)

The complement Γc of Γ[ι]Y is defined as follows: Γc(y)=Γ(y)c for all yY, i.e.,

Γc(y)=[1Γ+(y),1Γ(y)]for all yY.

For a family {ΓiiΩ} of IVF sets in Y where Ω is an index set, the union Φ=iΩΓi and the intersection Ψ=iΩΓi are defined as follows:

Φ(y)=iΩΓi(y)=rsupiΩΓi(y)
Ψ(y)=iΩΓi(y)=rinfiΩΓi(y)
for all yY, respectively. (see [23])

Let Y be a set. By a cubic set in Y we mean a structure

A={y,Γ(y),ρ(y)yY}
where, Γ and ρ are an IVF set and a fuzzy set on Y, respectively. A cubic set A={y,Γ(y),ρ(y)yY} is simply denoted by A=Γ,ρ. Denote by CY the collection of all cubic sets in Y. A cubic set A in which Γ(y)=0 and ρ(y)=1 (resp. A(y)=1 and ρ(y)=0) for all yY is denoted by 0̈ (resp. 1̈). A cubic set in which Δ(y)=0 and ϱ(y)=0 (resp. Δ(y)=1 and ϱ(y)=1) for all yY is denoted by 0̂ (resp. 1̂). (see [23])

Definition 2.1.

[23] Let A=Γ,ρ and =Δ,ϱ be cubic sets in Y. Then we define

  1. A=Γ=Δ and ρ=ϱ.

  2. APΓΔ and ρϱ.

  3. ARΓΔ and ρϱ.

  4. AΓΔ,ρ<ϱ

  5. AΓΔ,ρ>ϱ

where, (i) is called equality, (j) and (k) are called P-order and R-order, respectively.

Let V be a nonempty set. Define the relation on V×V for all (u,v),(z,w)V×V,by(u,v)(z,w) if and only if u=z and v=w or u=w and v=z. Then it is easily shown that is an equivalence relation on V×V. For all u,vV, let [(u,v)] denote the equivalence class of (u,v) with respect to . Then [(u,v)]={(u,v),(v,u)}. Let V={[(u,v)]|u,vV,uv}. For simplicity, we often write for V when V is a understood. Let E. A graph is a pair (V,E). The elements of V are thought of as vertices of the graph and the elements of E as the edges. For u,vV, let uv denotes [(u,v)]. Then clearly uv=vu. We note that in this paper, graph (V,E) has no loops and parallel edges. (see [36])

Definition 2.2.

[36] A fuzzvgraph G:=(V,φ,ψ) is a triple consisting of a nonempty set V together with a pair of functions φ:Vι and ψ:ι such that for all u,vV,ψ(uv)φ(u)φ(v)

The fuzzy set φ is called the fuzzy vertex set of G and ψ the fuzzy edge set of G. Clearly ψ is a fuzzy relation on φ. We consider V as a finite set, unless otherwise specified.

Definition 2.3.

[36] By an interval-valued fuzzy graph of a graph G=(V,E), we mean a pair G=(Γ,Δ), where Γ=[ψΓ,ψΓ+] is an interval-valued fuzzy set on V and Δ=[ψΔ,ψΔ+] is an interval-valued fuzzy set on V.

3. CUBIC GRAPHS

In graph theory, there are some very basic concepts that whenever we just want to apply a new structure to graphs, these basic concepts must be introduced in that new structure. These basic concepts include vertex, edge, path, cycle, diameter, bridge, complete graph, sub-graph, and so on. Now in this section, all these important concepts for cubic graphs are stated and the related results are obtained.

Rashid et al. [18] applied cubic sets on graphs and introduced the notion of cubic graphs as follows: Let M=(P,Q) be a graph. A cubic graph of graph M=(P,Q) is the structure G:=(A,) in which A=μ̃A,λA is the cubic set representation for the vertex P and =μ̃B,λB denote a cubic set representation for the edge Q with

μ̃A:PD[0,1],λA:P[0,1]
μ̃B:QD[0,1],λB:Q[0,1]
such that
μ̃B(uv)rminμ̃A(u),μ̃A(v),λB(uv)maxλA(u),λA(v).(1)

But this definition is not correct. Since if μ̃A=0 and μ̃B=0, then G=(λA,λB) is not fuzzy graph on M=(P,Q). Because, λB(uv)maxλA(u),λA(v). But in the definition of fuzzy graph, we should have λB(uv)minλA(u),λA(v). Now, in the below definition we give the correct version of cubic graph as follows:

Definition 3.1.

Let V be a finite set. By a cubic graph over V, we mean a pair G:=(A,) in which A=μ̃A,λA is a cubic set in V and =μ̃B,λB is a cubic set in V such that for all uvV.

μ̃B(uv)rminμ̃A(u),μ̃A(v),λB(uv)minλA(u),λA(v).(2)

Let

μ̃A={uV|μ̃A(u)>[0,0]},λA={uV|λA(u)>0},μ̃B={uvV|μ̃B(u)>[0,0]},λB={uvV|λB(u)>0}.(3)
and V=μ̃AλA and E=μ̃BλB. Then G=(V,E) is a graph which is called the underlying crisp graph of G.

It is clear that any cubic graph is fuzzy graph and interval-valued fuzzy graph.

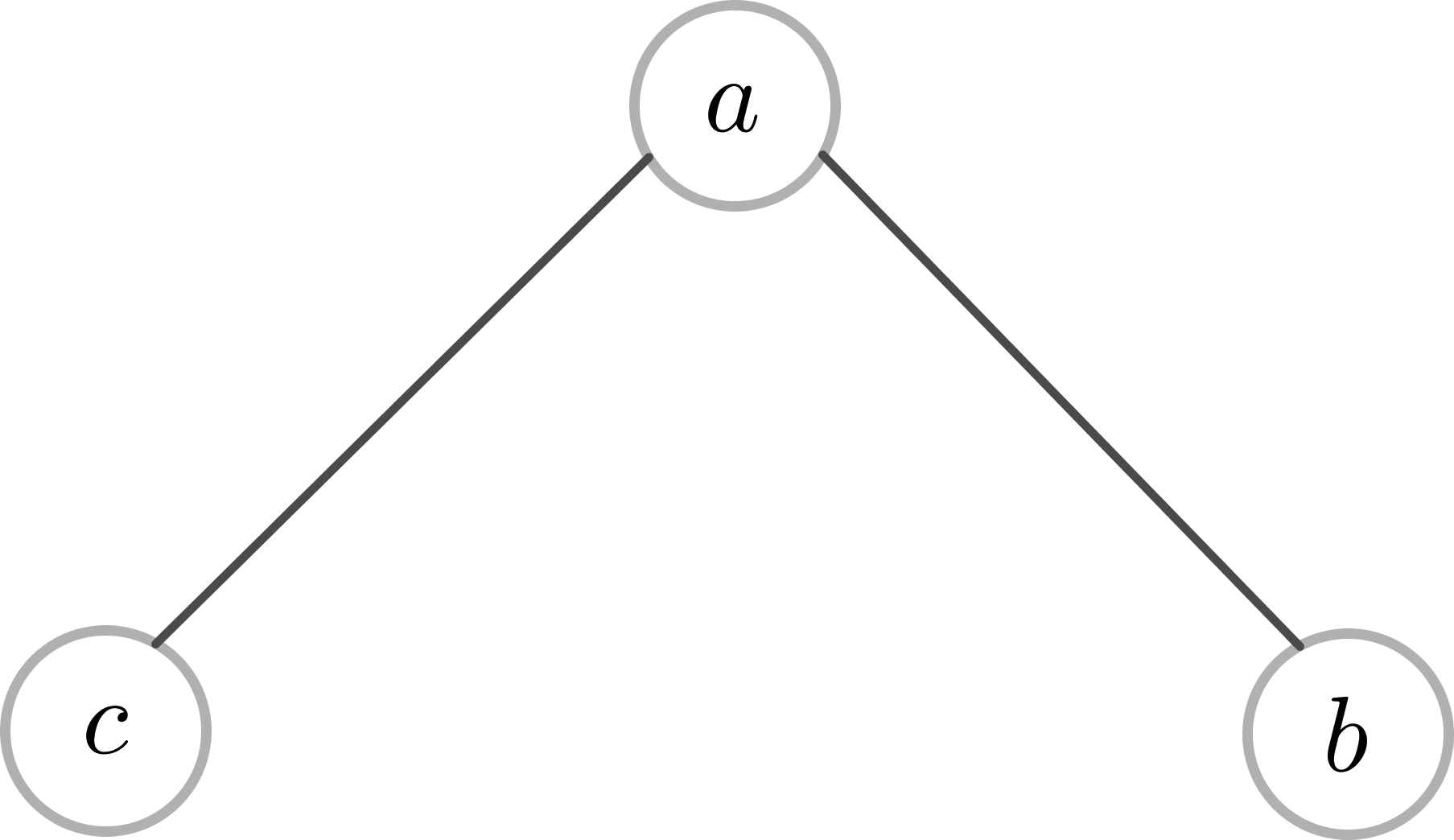
Example 3.2.

Given a set V={a,b,c}, let A=μ̃A,λA and =μ̃B,λB be two cubic sets in V and V, respectively, which are given by Tables 1 and 2. Then Figure 1, is a cubic graph over V. The Underlying graph of G is described by Figure 2.

V μ̃A λA
a [0.3,0.6] 0.6
b [0.2,0.5] 0.2
c [0.4,0.8] 0.4
Table 1

Tabular representation of “A=μ̃A,λA.”

V×V μ̃B λB
(a,b) [0.15,0.45] 0.20
(a,c) [0.30,0.50] 0.30
(b,c) [0.20,0.40] 0.00
Table 2

Tabular representation of “=μ̃B,λB.”

Figure 1

Cubic graph “G=(A,B)

Figure 2

Underlying graph of “G” i.e “G=(V,E)

Now, in the following definitions we introduce the concepts of cubic path, cubic cycle, cubic diameter, strength of path, strength of connectedness and complete cubic graph which are necessary for this study and the next results.

Definition 3.3.

Let G be a cubic graph over V. Then

  1. An IVF-path in G is defined to be a sequence PIVF:u0u1u2um of distinct members of V such that μ̃B(ua1ua)[0,0] for a=1,2,,m. We say that m is the length of the IVF-path PIVF, and PIVF:u0u1u2um is an IVF-path between u0 and um.

  2. An F-path in G is defined to be a sequence PF:u0u1u2un of distinct members of V such that λB(ub1ub)>0 for b=1,2,,n. We say that n is the length of the F-path PF, and PIVF:u0u1u2un is an F-path between u0 and un.

  3. By a cubic path in G we mean a sequence PC:u0u1u2uq of distinct members of V such that μ̃B(uc1uc)[0,0] and λB(ui1ui)>0 for c=1,2,,q. We say that q is the length of the cubic path PC, and PIVF:u0u1u2uq is a cubic path between u0 and uq.

  4. By an IVF-cycle of length m in G, we mean the IVF-path PIVF:u0u1u2um of length m in G such that u0=um for m3.

  5. By an F-cycle of length n in G, we mean the F-path PF:u0u1u2un of length n in G such that u0=un for n3.

  6. By an cubic cycle of length q in G, we mean the cubic path PC:u0u1u2uq of length q in G such that u0=uq for q3.

Definition 3.4.

Let G be a cubic graph over V and u,vV. Then

  1. The IVF-diameter of vertex u and vertex v is written by diamIVF(u,v) and is defined by the length of the biggest IVF-path between vertex u and vertex v.

  2. The F-diameter of vertex u and vertex v is written by diamF(u,v) and is defined by the length of the biggest F-path between vertex u and vertex v.

  3. The cubic diameter of vertex u and vertex v is written by diamC(u,v) and is defined by the length of the biggest cubic path between vertex u and vertex v.

Definition 3.5.

Let PC be a cubic path of length q in a cubic graph G:=(A,) over V.

  1. The strength of PC is defined by s(PC)=(s(PIVF),s(PF)) where

    s(PIVF)=i=1qμ̃B(ui1ui)
    and
    s(PF)=i=1qλB(ui1ui).

  2. Given an edge uv in PC, we say that uv is the weakest edge in PC if μ̃B(uv)=s(PIVF) and λB(uv)=s(PF).

Definition 3.6.

Let G be a cubic graph over V. For any u,vV, the strength of connectedness between vertex u and vertex v is denoted by CONNG(u,v) and it is the maximum of the strengths of all cubic paths between u and v.

Denote by CONNIVF(u,v) and CONNF(u,v) the maximum of strengths of all IVF-paths and F-paths, respectively, between u and v.

Definition 3.7.

A cubic graph G over V is said to be

  • IVF-complete if u,vV

    μ̃B(uv)=rminμ̃A(u),μ̃A(v),(4)

  • F-complete if u,vV

    λB(uv)=minλA(u),λA(v),(5)

  • Complete if it is both IVF-complete and F-complete.

Example 3.8.

Given a set V={a,b,c}, let A=μ̃A,λA and =μ̃B,λB be cubic sets in V and V which are given by Tables 3 and 4, respectively.

V μ̃A λA
a [0.3,0.6] 0.6
b [0.1,0.4] 0.4
c [0.4,0.7] 0.7
d [0.5,0.9] 0.3
Table 3

Tabular representation of “A=μ̃A,λA.”

V×V μ̃B λB
(a,b) [0.10,0.40] 0.40
(a,c) [0.30,0.60] 0.60
(a,d) [0.30,0.60] 0.30
(b,c) [0.10,0.40] 0.40
(b,d) [0.10,0.40] 0.30
(c,d) [0.40,0.70] 0.30
Table 4

Tabular representation of “=μ̃B,λB.”

Then G is a complete cubic graph over V, and it is described by Figure 3.

Figure 3

Complete cubic graph “G=(A,B)

Example 3.9.

Let V={a,b,c} and let G:=(A,) be a cubic graph over V which is given by Figure 4.

Figure 4

IVF-Complete cubic graph “G=(A,B)

Then G is an IVF-complete cubic graph over V, but it is not an F-complete cubic graph over V since

λB(bc)=0.310.4=min{λA(b),λA(c)}.

Let G be a cubic graph over V which is given by Figure 5.

Figure 5

F-Complete cubic graph “G=(A,B)

Then G:=(A,) is an F-complete cubic graph over V, but it is not an IVF-complete cubic graph over V since

μ̃B(ad)=[0.3,0.4][0.3,0.6]=rmin{μ̃A(a),μ̃A(b)}

In the following theorem, we determine an upper bound for maximum of strengths in the complete cubic graphs.

Theorem 3.10.

Let G be cubic graph over V.

  1. If G is IVF-complete, then

    (uvE)(CONNIVF(u,v)μ̃B(uv))

  2. If G is F-complete, then

    (uvE)(CONNF(u,v)λB(uv))

  3. If G is complete, then

    (uvE)(CONNG(u,v)(μ̃B(uv),λB(uv)))

Proof.

(i) and (ii). By using mathematical induction, we know that CONNIVFk(u,v)μ̃B(uv) and CONNFk(u,v)λB(uv) for any positive integer k. It follows that

CONNIVF(u,v)=k|E|CONNIVFk(u,v)μ̃B(uv)
and
CONNF(u,v)=k|E|CONNFk(u,v)λB(uv).

(iii) Proof is clear by (i) and (ii).

Definition 3.11.

Let G be a cubic graph over V. Then an element uvE is said to be

  • IVF-strong edge in G if

    μ̃B(uv)CONNIVFuv(u,v)
    where CONNIVFuv(u,v) is the maximum of strengths of all IVF-paths deleting uv.

  • F-strong edge in G if

    λB(uv)CONNFuv(u,v)
    where CONNFuv(u,v) is the maximum of strengths of all F-paths deleting uv.

  • Strong edge in G if it is both IVF- strong and F- strong.

Definition 3.12.

Let G be a cubic graph over a nonempty finite set V. Then G is said to be

  • IVF-strong (resp., F-strong) if every uvE is IVF-strong (resp., F-strong).

  • Strong if it is both IVF-strong and F-strong.

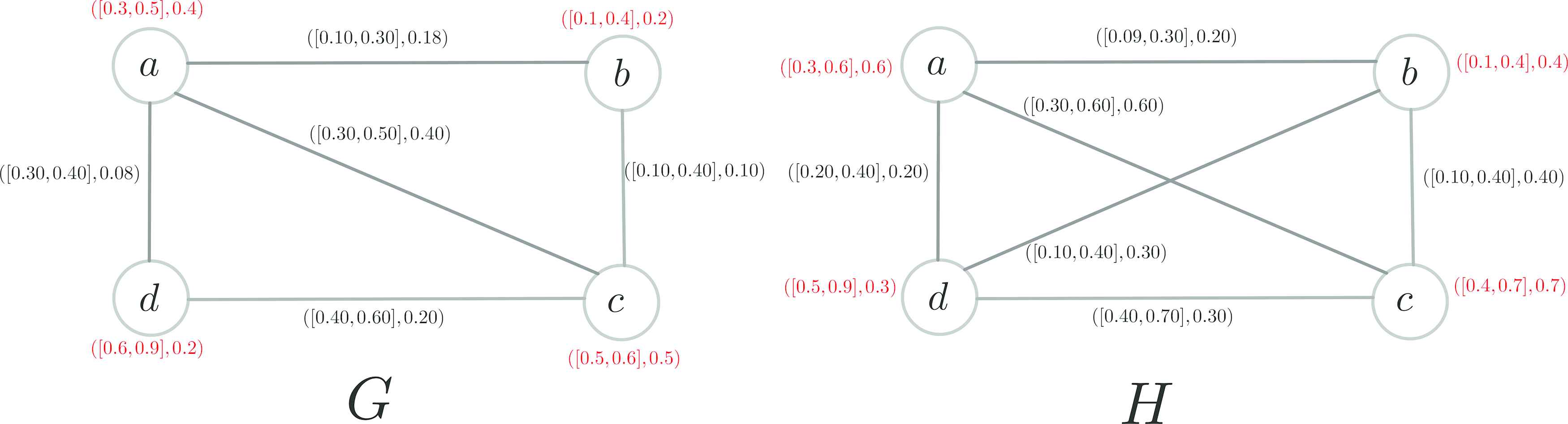
Example 3.13.

Let V={a,b,c,d} be a set. Then the cubic graph G:=(A,) over V which is given by Figure 6 is an IVF-strong cubic graph.

Figure 6

Cubic graph “G=(A,B)

But it is not an F-strong cubic graph since

λB(ab)=0.150.20=CONNFab(a,b)

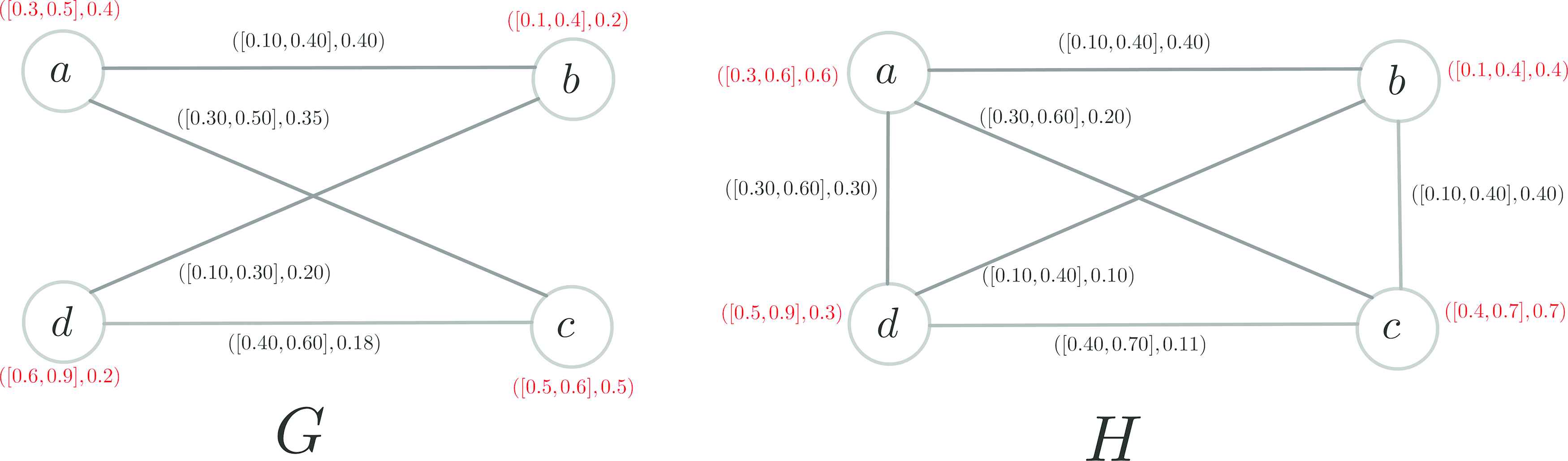
The cubic graph G:=(A,) over V which is given by Figure 7 is an F-strong cubic graph.

Figure 7

Cubic graph “G=(A,B)

But it is not an IVF-strong cubic graph since

μ̃B(ab)=[0.10,0.30][0.10,0.35]=CONNIVFab(a,b)

The cubic graph G:=(A,) over V which is given by Figure 8 is a strong cubic graph.

Figure 8

Cubic graph “G=(A,B)

In the following theorems, we investigate some equivalent conditions for (IVF, F) strong edges in the cubic graphs.

Theorem 3.14.

Let G be cubic graph over V. For any uvE, we have

uv is IVF-strongCONNIVF(u,v)μ̃B(uv),(6)
uv is F-strongCONNF(u,v)λB(uv),(7)
uv is strong CONNG(u,y)(μ̃B(uv),λB(uv)).(8)

Proof.

Assume that uv is IVF-strong. Then

CONNIVFuv(u,v)μ̃B(uv).

If an IVF-path between u and v contains uv, then it is clear that CONNIVF(u,v)μ̃B(uv). If an IVF-path between u and v does not contain uv, then its length is less or equal to CONNIVFuv(u,v)μ̃B(uv). The sufficiency is clear. Hence (6) is valid.

Suppose that uv is F-strong edge, then CONNFuv(u,v)λB(uv). If an F-path between vertex u and vertex v contains edge uv, then it is clear that CONNF(u,v)λB(uv). If an F-path between vertex u and vertex v does not contain edge uv, then its length is less or equal to CONNuv(u,v)λB(uv). The sufficiency is clear. Hence (7) is valid. The assertion (8) is induced by (6) and (7).

Theorem 3.15.

Let G be cubic graph over V and let uvE.

  1. If μ̃B(uv)=rminμ̃A(u),μ̃A(v), then uv is IVF-strong.

  2. If λB(uv)=minλA(u),λA(v), then uv is F-strong.

  3. If μ̃B(uv)=rminμ̃A(u),μ̃A(v) and λB(uv)=min{λA(u),λA(v)}, then uv is strong.

Proof.

(1) Let PIVF be an IVF-path between u and v in IVFuv. If the length of PIVF is equal 2, then PIVF must contain uz and zv for some zV with zuv. Hence

CONNIVFuv2(u,v)=rmaxzV{rminzV{μ~B(uz),μ~B(zv)}}=rmaxzV{rminzV{{rmin{μ~A(u),μ~A(z)},rmin{μ~A(z),μ~A(v)}}}=rmaxzV{rmin{μ~A(u),μ~A(z),μ~A(v)}}rmin{μ~A(u),μ~A(v)}=μ~B(uv).

Similarly CONNIVFuv3(u,v)μ̃B(uv) and the same way induces

CONNIVFuvk(u,v)μ̃B(uv)
for all positive integers k. Thus
CONNIVFuv(u,v)=k|E|CONNIVFuvk(u,v)μ̃B(uv),
and hence uv is IVF-strong by 3.6.

(2) Let PF be an F-path between vertex u and vertex v in Fuv. Suppose the length of PF is equal 2. Then PF must contain uz and zv for some zV with zuv. Hence

CONNFuv2(u,v)=maxzV{minzV{λB(uz),λB(zv)}}=maxzV{minzV{{min{λA(u),λA(z)},min{λA(z),λA(v)}}}=maxzV{min{λA(u),λA(z),λA(v)}}min{λA(u),λA(v)}=λB(uv)

Similarly CONNFuv3(u,v)λB(uv) and the same way induces

CONNFuvk(u,v)λB(uv)
for any positive integer numbers k. Thus
CONNFuv(u,v)=k|E|CONNFuvk(u,v)λB(uv).

It follows from 3.7 that uv is F-strong. (3) It is by (1) and (2).

Definition 3.16.

Let G:=(A,) and :=(C,D) be two cubic graphs over V. We define (P,P)-order, (P,R)-order, (R,P)-order and (R,R)-order between G:=(A,) and H:=(C,D) as follows:

  1. GPP if A and C have P-order, i.e., APC, and and D have P-order, i.e., PD.

  2. GPR if A and C have P-order, i.e., APC, and and D have R-order, i.e., RD.

  3. GRP if A and C have R-order, i.e., ARC, and and D have P-order, i.e., PD.

  4. GRR if A and C have R-order, i.e., ARC, and and D have R-order, i.e., RD.

If GPP, we say that G is a (P,P)-cubic subgraph of , and is a (P,P)- cubic super graph of G.

If GPR, we say that G is a (P,R)-cubic subgraph of , and is a (P,R)-cubic super graph of G.

If GRP, we say that G is a (R,P)-cubic subgraph of , and is a (R,P)-cubic super graph of G.

If GRR, we say that G is a (R,R)-cubic subgraph of , and is a (R,R)-cubic super graph of G.

Definition 3.16 is illustrated in the Figures 912.

Figure 9

GRPH

Figure 10

GRPH

Figure 11

GRPH

Figure 12

GRPH

Definition 3.17.

Given a cubic graph G over V, let u,vV and let G be a (ϵ,δ)-sub-cubic graph of G that is obtained by deleting uvV, where ϵ,δ{P,R}, so (μ̃A(u),λA(u))=(μ̃A(u),λA(u)) for all member of V, (μ̃B(uv),λB(uv))=([0,0],0) and (μ̃B(u),λB(u))=(μ̃B(u),λB(u)) for all other pairs. We call uv a cubic bridge in G if

CONNG(z,w)CONNG(z,w)
for some z,wV.

Proposition 3.18.

Let G be a cubic graph over V. A uvV is a cubic bridge if and only if there exists vertices z,wV such that every strongest path from vertex z to vetrex w contains edge uv.

Proof.

The proof is clearly.

Theorem 3.19.

Let G:=(A,) be a cubic graph over V and G be any sub cubic graph of G which that is obtained by deleting uvV. If uv is not the weakest of any cycle, then we have

CONNG(u,v)(μ̃B(uv),λB(uv)).

Proof.

If CONNG(u,v)̸(μ̃B(uv),λB(uv)), then there is a path from u to v not involving uv and strength of this path is greater than (μ̃B(uv),λB(uv)). So this path together with uv forms a cycle of G in which uv is weakest in any cycle, so eventually CONNG(u,v)(μ̃B(uv),λB(uv)).

One of the important results in the fuzzy graph theory, is the relation between bridge, strong arc and cutvertex. Now, in the following theorems we will investigate this relations.

Proposition 3.20.

In a cubic graph G:=(A,), every cubic bridge is strong.

Proof.

Let uv be a cubic bridge of G. Suppose uv is not strong. Then

CONNGuv(u,v)(μ̃B(uv),λB(uv)).

Let P be the strongest path from u to v in Guv. The strength of this path is CONNGuv(u,v). If we adjoin uv to P, then we have a cycle, and uv is the weakest of this cycle. Hence, by Theorem 3.19, uv is not a cubic bridge of G. So cubic graph must be strong.

The converse of Proposition 3.20 may not be true as seen in Figure 13.

Figure 13

“A strong cycle without cubic bridge.”

Theorem 3.21.

Let G:=(A,) be a cubic graph over V. If uv is a cubic bridge, then

CONNG(u,v)(μ̃B(uv),λB(uv))

Proof.

By Theorem 3.19 and Proposition 3.20, it is clear.

Definition 3.22.

Given a cubic graph G:=(A,) over V. Let uV and G be a (ϵ,δ)-subcubic graph of G, where ϵ,δ{P,R}, which is obtained by deleting u. So (μ̃A(u),λA(u))=([0,0],0) and (μ̃A(u),λA(u))=(μ̃A(u),λA(u)) for all others member of V, (μ̃B(uv),λB(uv))=([0,0],0) for all vV and (μ̃B(u),λB(u))=(μ̃B(u),λB(u)) for all other members of V. Then we call u a cubic cutvertex in G if

CONNG(z,w)CONNG(z,w)
for some z,wV with zuw.

Proposition 3.23.

Let G:=(A,) be a cubic graph over V. A uV is a cubic cutvertex in G if and only if there exists z,wV distinct from u such that u is on every strongest path from z to w.

Proof.

Straightforward.

Theorem 3.24.

Let G:=(A,) be a cubic graph over V such that (V,E) is a cycle. Then a member of V is a cubic cutvertex if only if it is a common vertex of two cubic bridges.

Proof.

Let u be a cubic cutvertex of G. Then by Proposition 3.23 there exists z and w distinct u such that u is on every strongest path from z to w. On the other hand, since G=(V,E) is a cycle, there exists only one strongest path from z to w containing u and all its pairs are a cubic bridges. Thus u is a common vertex of two cubic bridges.

Conversely, let u be a common vertex of two cubic bridges zu and uw. Then both zu and uw are not weakest in a path from z to w. Also, this path not containing zu and uw has strength less than (rmin{μ̃B(zu),μ̃B(uw)},min{λB(zu),λB(uw)}). Hence, the strongest path from z to w is the path z,u,w and

CONNG(z,w)(rmin{μ̃B(zu),μ̃B(uw)},min{λB(zu),λB(uw)}).

Thus u is a fuzzy cutvertex.

4. APPLICATION

Traffic flow is the theory, which is developed based on the flow of vehicle on the lane, along with its connections with other vehicles, pedestrians, signals, which is present on the road. Free movement of traffic is affected by many factors like design speed, percentage of heavy vehicles, number of lanes and intersections which are available along the road.

Traffic flow in a road is expressed as number of vehicles using the particular road per unit duration during one hour and is measured by utilizing traffic counts made for a particular duration at one point on the lane stretch. There is a variability in the counts made during different hours of time during a special day. Peak hour traffic is considered for making any analysis based on traffic flow. Measuring traffic flow is necessary for locating the point on the road during congestion, assessing the requirement of traffic signal at an intersection, estimating the capacity of the road way to meet with the present flow and the like. In addition, traffic flow relies on the speed of traffic, and the density of vehicles on the road. The present study aimed to obtain the most optimal route for going from one place to another place in a city by cubic graph. To this aim, Shahid Beheshti university located in Tehran, Iran, has two campuses, the distance of which is approximately 19 km. There are some highways for going from the campus 1 located in Velenjak region to campus 2 located in Ekbatan region as follows:

If we named any each intersection between two highways with summarize, Figure 14 obtained as follows:

Figure 14

The graph of the Highway intersection.

Now, we consider each of the intersections as one vertex and each highways between two intersections as the edge of graph. There are many routes from campus 1 to 2 related to this university. However, the main question raised here is, related to the least time each route requires. In this regard, a lot of parameters may play a role are but the tolerance of traffic and distance between two intersection are considered as two main parameters. Further, the volume of traffic and distance between two intersections are fuzzy variable and interval-valued fuzzy variable, respectively.

V set of all intersections (vertices) and put V set of all distance between intersections if we want to make one cubic graph in Figure 14. Let λA:VI and λB:VI be the membership function of volume of traffic for any vertex and any edge, respectively. It is wroth noting that more value of λB means low traffic and less value of λB means high traffic but there is no traffic for vertex because it is an intersection between two highways that these are not cut together. Thus, the membership value of traffic equals to 1 for all vertices. Further, suppose μ̃A:V[ι] and μ̃B:V[ι] are membership function of distance for any vertex and any edge, respectively. In other words, μ̃B(uv)=[0,a] for any edge, where a is considered as a normalized distance between the two vertex u,v and μ̃A(u)=[1,1] is defined for any vertex. Since the maximum distance between vertices less than 10km, the so normalized distance is as follows:

a:=uv10
where uv represents the distance between two intersection in km.

Table 5 indicates the data related to the edges based on the reports from traffic and municipal organization in Tehran and daily personal experiences traversing from this route at 5 o'clock pm.

uvV μ̃B(uv) λB(uv) uvV μ̃B(uv) λB(uv)
VelenjakCha,Yad [0,0.13] 0.3 Hem,JenHem,sat [0,0.17] 0.25
Cha,YadYad,Has [0,0.61] 0.6 Has,JenHas,Sat [0,0.16] 0.3
Cha,YadCha,Has [0,0.15] 0.9 Has,SatHem,Sat [0,0.19] 0.6
Cha,HasYad,Has [0,0.43] 0.3 Hem,SatHak,Sat [0,0.18] 0.45
Cha,HasCha,Hem [0,0.31] 0.3 Hak,SatShe,Sat [0,0.17] 0.55
Cha,HemCha,Hak [0,0.12] 0.8 Has,SatHas,Bak [0,0.21] 0.45
Cha,HakHak,She [0,0.14] 0.5 Has,BakBak,Hem [0,0.12] 0.8
Cha,HemHem,She [0,0.15] 0.5 Hem,SatBak,Hem [0,0.18] 0.45
Hem,SheHak,She [0,0.1] 0.7 Bak,HemBak,Hak [0,0.22] 0.9
Hem,SheYad,Hem [0,0.24] 0.35 Hak,SatBak,Hak [0,0.16] 0.45
Hak,SheYad,Hak [0,0.22] 0.35 Bak,HakBak,She [0,0.18] 0.75
Yad,HemYad,Hak [0,0.15] 0.65 Bak,SheShe,Sat [0,0.085] 0.8
Yad,HasYad,Hem [0,0.22] 0.55 She,SatEkbatanTown [0,0.06] 0.75
Yad,HakYad,She [0,0.36] 0.4 Hak,SheYad,She [0,0.35] 0.4
Yad,SheShe,Jen [0,0.14] 0.55 Yad,HakHak,Jen [0,0.12] 0.35
Yad,HemHem,Jen [0,0.15] 0.3 Yad,HasHas,Jen [0,0.08] 0.35
Has,JenHem,Jen [0,0.21] 0.3 Hem,JenHak,Jen [0,0.13] 0.5
Hak,JenShe,Jen [0,0.32] 0.25 She,JenShe,sat [0,0.27] 0.5
Hak,JenHak,Sat [0,0.18] 0.35
Table 5

Tabular representation of distance and tolerance of traffic.

In order to obtain the best route requiring less time, an algorithm should be first used for finding all the paths from the campus 1 to 2, which is operated by Algorithm 1 (programming C++) and visible for all paths in Table 6. Thus, a speed equation, as a common equation in physics, indicates the relationship between time, speed and distance. Based on this equation, we have u=vt+u0 or u=vt. Therefore, move depends on the volume of traffic in one highway. In other word, high traffic results in reducing speed while low traffic leads to an increase in speed. In one highway, if the maximum speed allowed is 80kmh, the speed of a car depends on the equation vavg=λB(uv)×80. Hence

u=vavgt

i Paths Time(H) i Paths Time(H)
1 0 1 7 8 13 16 17 18 23 0.527386364 2 0 1 7 8 13 12 11 18 23 0.534886364
3 0 1 7 8 13 12 17 18 23 0.439172078 4 0 1 7 8 9 10 11 18 23 0.481914336
5 0 1 7 8 9 12 11 18 23 0.540453297 6 0 1 7 8 9 12 17 18 23 0.415875375
7 0 1 7 14 13 16 17 18 23 0.505957792 8 0 1 7 14 13 12 11 18 23 0.567321429
9 0 1 7 14 13 12 17 18 23 0.442743506 10 0 1 7 14 15 16 17 18 23 0.414707792
11 0 1 2 3 4 5 10 11 18 23 0.476609848 12 0 1 2 3 6 5 10 11 18 23 0.478216991
13 0 1 2 7 8 13 16 17 18 23 0.55030303 14 0 1 2 7 8 13 12 11 18 23 0.636666667
15 0 1 2 7 8 13 12 17 18 23 0.512088745 16 0 1 2 7 8 9 10 11 18 23 0.554831002
17 0 1 2 7 8 9 12 11 18 23 0.613369963 18 0 1 2 7 8 9 12 17 18 23 0.488792041
19 0 1 2 7 14 13 16 17 18 23 0.553874459 20 0 1 2 7 14 13 12 11 18 23 0.640238095
21 0 1 2 7 14 13 12 17 18 23 0.515660173 22 0 1 2 7 14 15 16 17 18 23 0.487624459
23 0 1 7 8 13 16 17 21 22 18 23 0.526475694 24 0 1 7 8 13 16 20 21 22 18 23 0.512586806
25 0 1 7 8 13 12 17 21 22 18 23 0.488261409 26 0 1 7 8 9 12 17 21 22 18 23 0.464964705
27 0 1 7 14 13 16 17 21 22 18 23 0.530047123 28 0 1 7 14 13 16 20 21 22 18 23 0.516158234
29 0 1 7 14 13 12 17 21 22 18 23 0.491832837 30 0 1 7 14 15 16 17 21 22 18 23 0.463797123
31 0 1 7 14 15 16 20 21 22 18 23 0.449908234 32 0 1 7 14 15 19 20 21 22 18 23 0.437408234
33 0 1 2 3 4 5 9 10 11 18 23 0.558306277 34 0 1 2 3 4 5 9 12 11 18 23 0.616845238
35 0 1 2 3 4 5 9 12 17 18 23 0.492267316 36 0 1 2 3 6 5 9 10 11 18 23 0.55991342
37 0 1 2 3 6 5 9 12 11 18 23 0.618452381 38 0 1 2 3 6 5 9 12 17 18 23 0.563517316
39 0 1 2 3 6 8 13 12 17 18 23 0.53530303 40 0 1 2 3 6 8 9 10 11 18 23 0.578045288
41 0 1 2 3 6 8 9 12 11 18 23 0.636584249 42 0 1 2 3 6 8 9 12 17 18 23 0.512006327
43 0 1 2 7 8 13 16 17 21 22 18 23 0.599392361 44 0 1 2 7 8 13 16 20 21 22 18 23 0.585503472
45 0 1 2 7 8 13 12 17 21 22 18 23 0.561178075 46 0 1 2 7 8 9 12 17 21 22 18 23 0.537881372
47 0 1 2 7 14 13 16 17 21 22 18 23 0.60296379 48 0 1 2 7 14 13 16 20 21 22 18 23 0.589074901
49 0 1 2 7 14 13 12 17 21 22 18 23 0.564749504 50 0 1 2 7 14 15 16 17 21 22 18 23 0.53671379
51 0 1 2 7 14 15 16 20 21 22 18 23 0.522824901 52 0 1 2 7 14 15 19 20 21 22 18 23 0.510324901
53 0 1 2 3 4 5 9 12 17 21 22 18 23 0.541356647 54 0 1 2 3 6 5 9 12 17 21 22 18 23 0.54296379
55 0 1 2 3 6 8 13 16 17 21 22 18 23 0.622606647 56 0 1 2 3 6 8 13 16 20 21 22 18 23 0.608717758
57 0 1 2 3 6 8 13 12 17 21 22 18 23 0.584392361 58 0 1 2 3 6 8 9 12 17 21 22 18 23 0.561095658
Table 6

Tabular representation all paths obtained from C++ program.

Thus, the time of crossing every path is as follows:

t=uvvavg

Further, as shown in Table 6, we could find the time for any path by using an Algorithm 2 as follows:

Finally, the optimum path spending the least time was evaluated for its crossing. As displayed in Table 6, the optimum path is 10th, which means that 017141516171823 is considered as the optimal path the crossing of which is 0.414707792 hours. As illustrated Figure 15, the presented cubic path could suggest the route what is available on Google Map.

Figure 15

Checking (or Comparing) the accuracy of the algorithm with Google Map software.

5. CONCLUSION

Graph theoretical concepts are widely used to study and model various applications in different areas including automata theory, operations research, economics and transportation. However, in many cases, some aspects of a graph-theoretic problem may be vague or uncertain. Fuzzy graphs were introduced by Rosenfeld [1], ten years after Zadeh's landmark paper “Fuzzy Sets” (briefly F-set) [2]. Rosenfeld has obtained the fuzzy analogs of several basic graph-theoretic concepts like bridges, paths, cycles, trees and connectedness and established some of their properties. In 1975, Zadeh [3] introduced the notion of interval-valued fuzzy sets (briefly IVF-set) as an extension of fuzzy sets in which the values of the membership degrees are intervals of numbers instead of the numbers. Interval-valued fuzzy sets provide a more adequate description of uncertainty than traditional fuzzy sets. Chen introduced the interval-valued fuzzy hypergraph in his paper [37]. This concept is being applied from various angles to algebraic structure and applied science etc. Some researchers used graph theory, fuzzy graph theory and interval-valued fuzzy graph theory in traffic flow as follows:

Algorithm 1: Finding all the paths from the campus 1 to 2

Data: Cubic graph from the campus 1 to 2

Result: Finding all the paths from the campus 1 to 2 initializations

1. Define utility function for printing the found path in cubic graph.

2. Define utility function to check if current vertex is already present in cubic path.

3. Define utility function for finding paths in cubic graph from source to destination(int g, int src, int dst, int v).

4. If last vertex is the desired destination then print the cubic path.

5. Traverse to all the nodes connected to current vertex and push new path to queue.

6. The main program.

6.1. The number of vertices with information on them.

6.2. The construct an edge between vertices with information on them.

6.3. Call all of defined utility functions and print the cubic path.

6.4. Return to the initial vertex.

Algorithm 2: Finding the time needs for the crossing of any cubic path

Data: All the cubic paths from the campus 1 to 2

Result: Finding the time needs for the crossing of any cubic path initializations

1. Define function vavg for any edge of any cubic paths.

2. Define function t for any edge of any cubic path.

3. Define function T:=t for any cubic path.

4. The main program.

  1. Add all of the cubic paths with information on them.

  2. Compare between T of any cubic paths and find the minimum time of them.

  3. Print the cubic paths with time needs for the crossing in Table 6.

Researchers Title Technique Used Results
Riedel and Brunner [39] Traffice control using graph theory The design of a controller for a traffic crossing is presented by means of an example. The controller to be developed has to minimize the waiting time of public transportation while maintaining the individual traffic flowing as well as possible. The simulation results have shown that it is possible to halve the average waiting time of public transportation while the average waiting time of the cars remains almost unchanged. Problems only raised in the paper:
  • design of an observer

  • robustness of controllers and observers with respect to unreliable sensor outputs

Firouzian and Nouri Jouybari [40] Coloring fuzzy graphs and traffic light problem They introduced the main approach to the fuzzy coloring problem and used in the traffic lights problem. They tried to model the traffic lights problem at a junction such that to avoid long time waiting at junctions and congestions.
Dave and Jhala [41] Application of graph theory in traffic management The compatibility graph corresponding to the problem and circular-arc graphs have been introduced. Compatibility graph corresponding to the problem, spanning subgraph and circular-arc graphs then are utilized to reduce our problem to the solution of LP problems. They tried to solve the problem of the phasing of traffic lights at a junction such that traffic signals can be used more efficiently to avoid a long time waiting at junctions and congestions.
Myna [42] Application of fuzzy graph in traffic They used a fuzzy graph model to represent a traffic network of a city and discussed a method to find the different types of accidental zones in traffic flows using edge coloring of a fuzzy graph. They give a speed limit of vehicles according to the accidental zone. The chromatic number of G is χ(G)={(4,L),(3,M),(1,H)}. The interpretation of χ(G) Iis the following: lower values of α are associated to lower driver aptitude levels and, consequently, the traffic lights must be controlled conservatively and the chromatic number is high; on the other hand, for higher values of α, the driver aptitude levels increase and the chromatic number is lower, allowing a less conservative control of the traffic lights and a more fluid traffic flow.
Abdushukoor and Sushama [43] A fuzzy graph approach for selecting optimal traffic counting locations in road networks They proposed a methodology, which is designed to handle the situation in which the origin-destination matrix is unavailable or scarce. It requires traffic count data on links and also, presented a methodology for identifying traffic counting locations which uses a screen-line-based approach to cover all paths having a particular flow or higher, in order to attain maximum flow coverage goal. They presented models for finding (1) the optimum number of traffic counting locations and (2) maximum flow captured by these locations.
Setiawan and Budayasa [44] Application of graph theory concept for traffic light control at crossroad By modeling the system of traffic flows into a compatible graph, two vertices are represented as the flow connected by an edge if and only if the flow at the crossroads can be moved simultaneously without causing crashes. The calculation of the optimal cycle states traffic light cycle at different times at crossroads and when the green light in all directions. But in fact, the traffic light settings are very complicated and no single, which involves a variety of factors, and cannot adopt a suitable model to solve all problems.
Singh Oberoi et al. [45] Spatial modeling of urban road traffic using graph theory They presented a qualitative model, based on graph theory, which will help to understand the spatial evolution of urban road traffic. Various real-world objects which affect the flow of traffic, and the spatial relations between them, are included in the model definition. They presented their initial ideas to develop a spatial model to understand the urban road traffic using heterogeneous data available at different levels of detail and the idea of categorizing the real-world objects into various classes and associate a specific set of spatial relations to each class. They also proposed two types of granularity: carriageway-based and sector-based.
Dey et al. [46] New concepts on vertex and edge coloring of simple vague graphs They analyzed the concept of vertex and edge coloring on simple vague graphs and the applications of the proposal in solving practical problems related to traffic flow management and the selection of advertisement spots are mainly discussed. The applicability and practical aspects of all of the concepts and definitions introduced were demonstrated using two scenarios related to traffic flow and advertising. The edge coloring for vague graphs was used to model traffic light positioning and scheduling to optimize the traffic flow in a town setting, whereas the vertex coloring was used to model a problem involving the selection of the best place for a company to place its advertisement.
Satyanarayana [38] Range-valued fuzzy coloring of interval-valued fuzzy graphs He introduced coloring interval-valued fuzzy graphs that have a few general applications and also another idea of using coloring for interval-valued fuzzy graphs is presented. This procedure is utilized to color the India political map, revealing the power of the relationship within the nation. Additionally, another sort of traffic signal system is analyzed. Interval-valued fuzzy graphs appropriately signify a few public problems. One is the India political map. The current maps do not give information on the political connection among neighboring nations. However, the interval-valued fuzzy graph gives a genuine picture of the political connections. This introduced the coloring of interval-valued fuzzy graphs and showed the political connection among the nations. In addition, straight traffic signals, red, green, and so on, do not suitably represent traffic systems. Hence, range-valued fuzzy colors are used to simplify the available systems. Thus, the traffic signal problem is explained here by coloring interval-valued fuzzy graphs. Branch coloring is also significant for some genuine events. We are working on the branch coloring and total coloring of interval-valued fuzzy graphs as an added layer of this subject.

As you see in the above report, more than 90 percent of researchers did use the graph theory and fuzzy graph theory in traffic flows. In fact, they studied a limited branch of traffic problems as follows:

  • Optimization of traffic light's function

  • Evaluation traffic by image processing

  • Identification high-risk areas on urban roads and optimization of the urban road traffic

None researchers not used graph theory, fuzzy graph theory and, etc., for finding the best path from the origin to the destination. Therefore, we tried to find the best path from the origin to the destination by using graph theory, fuzzy graph theory and, etc. It is natural to deal with the vagueness and uncertainty using the methods of fuzzy graphs and interval-valued fuzzy graphs in some problems. Thus, Jun et al. introduced a cubic set that is combined by a fuzzy set and interval-valued fuzzy set. A cubic model is a generalized form of a fuzzy model and an interval-valued fuzzy model. In our goal, the cubic models provide more precision, flexibility and compatibility to the system when more than one agreements are to be dealt with. Thus in this article, we introduced a cubic graph and we know that the notion of the cubic graph which is different from the cubic graph in [18] is introduced, and many properties are considered. The cubic graph has found its importance as a closer approximation to real-life situations. The detailed study on the soft cubic graphs on to find one path with the minimum distance in minimum time, if there exist some problems in the path of one address is one of the primary focus of our future research work. For future works, we will the study of cubic graphs may also be extended with an application of cubic graph in neural networks, data science and medical science. The proposed concepts can be used in communication systems, image processing, system analysis and pattern recognition, etc.

CONFLICT OF INTEREST

This manuscript has not been submitted to, nor is under review at, another journal or other publishing venue.

AUTHORS' CONTRIBUTIONS

All authors have participated in (a) conception and design, or analysis and interpretation of the data; (b) drafting the article or revising it critically for important intellectual content; and (c) approval of the final version.

Funding Statement

The authors have no affiliation with any organization with a direct or indirect financial interest in the subject matter discussed in the manuscript.

ACKNOWLEDGMENTS

The authors are very indebted to the editor and anonymous referees for their careful reading and valuable suggestions which helped to improve the readability of the paper.

REFERENCES

1.A. Rosenfeld, Fuzzy Sets and their Applications to Cognitive and Decision Processes, Proceedings of the U.S.–Japan Seminar on Fuzzy Sets and Their Applications, Held at the University of California, Berkeley, California, July 1-4, 1974, Academic Press, New York, NY, USA, 1975, pp. 77-95.
23.Y.B. Jun, C.S. Kim, and K.O. Yang, Cubic sets, Ann. Fuzzy Math. Informat., Vol. 4, 2012, pp. 83-98. http://www.afmi.or.kr/papers/2012/Vol-04_No-01/AFMI-4-1(83-98)-J-111023.pdf
25.Y.B. Jun, C.S. Kim, and J.G. Kang, Cubic q-ideals of BCI-algebras, Ann. Fuzzy Math. Informat., Vol. 1, 2011, pp. 25-34. http://www.afmi.or.kr/papers/2011/Vol-01_No-01/tex-files%20Vol-01/3/AFMI(Vol.1,%20No.1,%2025-34).pdf
27.Y.B. Jun and K.J. Lee, Closed cubic ideals and cubic ∘-subalgebras in BCK/BCI-algebras, Appl. Math. Sci., Vol. 4, 2010, pp. 3395-3402. http://m-hikari.com/ams/ams-2010/ams-65-68-2010/leeAMS65-68-2010.pdf
29.Y.B. Jun, G. Muhiuddin, M.A. Ozturk, and E.H. Roh, Cubic soft ideals in BCK/BCI-algebras, J. Comput. Anal. Appl., Vol. 22, 2017, pp. 929-940. https://www.researchgate.net/publication/314950290_Cubic_soft_ideals_in_BCKBCI-algebras
31.G. Muhiuddin, S.S. Ahn, C.S. Kim, and Y.B. Jun, Stable cubic sets, J. Comput. Anal. Appl., Vol. 23, 2017, pp. 802-819. https://www.researchgate.net/publication/316630127_Stable_cubic_sets
33.G. Muhiuddin and A.M. Al-roqi, Cubic soft sets with applications in BCK/BCI-algebras, Ann. Fuzzy Math. Informat., Vol. 8, 2014, pp. 291-304. http://www.afmi.or.kr/papers/2014/Vol-08_No-02/PDF/AFMI-8-2(291-304)-J-131222.pdf
41.D. Dave and N.I. Jhala, Application of graph theory in traffic management, Int. J. Eng. Innov. Technol., Vol. 3, 2014, pp. 124-126. https://www.ijeit.com/Vol%203/Issue%2012/IJEIT1412201406_24.pdf
42.R. Myna, Application of fuzzy graph in traffic, Int. J. Sci. Eng. Res., Vol. 6, 2015, pp. 1692-1696. https://www.ijser.org/researchpaper/Application-of-Fuzzy-Graph-in-Traffic.pdf
43.K.M. Abdushukoor and C.M. Sushama, A fuzzy graph approach for selecting optimal traffic counting locations in road networks, Int. J. Pure Appl. Math., Vol. 1099, 2016, pp. 90-98. http://www.ijpam.eu
Journal
International Journal of Computational Intelligence Systems
Volume-Issue
13 - 1
Pages
1265 - 1280
Publication Date
2020/08/18
ISSN (Online)
1875-6883
ISSN (Print)
1875-6891
DOI
10.2991/ijcis.d.200730.002How to use a DOI?
Copyright
© 2020 The Authors. Published by Atlantis Press B.V.
Open Access
This is an open access article distributed under the CC BY-NC 4.0 license (http://creativecommons.org/licenses/by-nc/4.0/).

Cite this article

TY  - JOUR
AU  - G. Muhiuddin
AU  - M. Mohseni Takallo
AU  - Y. B. Jun
AU  - R. A. Borzooei
PY  - 2020
DA  - 2020/08/18
TI  - Cubic Graphs and Their Application to a Traffic Flow Problem
JO  - International Journal of Computational Intelligence Systems
SP  - 1265
EP  - 1280
VL  - 13
IS  - 1
SN  - 1875-6883
UR  - https://doi.org/10.2991/ijcis.d.200730.002
DO  - 10.2991/ijcis.d.200730.002
ID  - Muhiuddin2020
ER  -