International Journal of Computational Intelligence Systems

Volume 14, Issue 1, 2021, Pages 11 - 22

Stability and Stabilization Condition for T-S Fuzzy Systems with Time-Delay under Imperfect Premise Matching via an Integral Inequality

Authors
Zejian Zhang1, ORCID, Dawei Wang2, *, ORCID, Xiao-Zhi Gao3
1Mechanical Engineering College, Beihua University, Jilin, 132021, China
2Mathematic College, Beihua University, Jilin, 132013, China
3School of Computing, University of Eastern Finland, Kuopio, 70211, Finland
*Corresponding author. Email: wdw9211@126.com
Corresponding Author
Dawei Wang
Received 7 April 2020, Accepted 5 November 2020, Available Online 18 November 2020.
DOI
10.2991/ijcis.d.201112.001How to use a DOI?
Keywords
T-S fuzzy systems; Time-delay; Integral inequality; Lyapunov-Krasovskii function (LKF); Imperfect premise matching
Abstract

This paper focuses on the stability and stabilization analysis for the T-S fuzzy systems with time-delay under imperfect premise matching, in which the number of fuzzy rules and membership functions employed for the fuzzy model and fuzzy controller are different. By introducing an augmented Lyapunov-Krasovskii function containing a triple-integral term, a less conservative membership-dependent stability condition is proposed via an integral inequality. Moreover, a new design approach under imperfect premise matching is developed in the paper. Four numerical examples are given to illustrate the advantages of our approaches. A practical benchmark problem namely continuous Stirred Tank Reactor (CSTR) is discussed in details in order to further verify their effectiveness.

Copyright
© 2021 The Authors. Published by Atlantis Press B.V.
Open Access
This is an open access article distributed under the CC BY-NC 4.0 license (http://creativecommons.org/licenses/by-nc/4.0/).

1. INTRODUCTION

As we know that the fuzzy model proposed by Takagi and Sugeno can effectively represent nonlinear dynamic systems [1], and some efforts on T-S fuzzy model have been done [2,3]. For example, a reinforcement fuzzy learning scheme for robots playing a different game in [4], and [5] proposes a fuzzy logic control algorithm (FLCA) to stabilize the Rössler chaotic dynamical system. Microscopic simulation and fuzzy rule interpolation is applied to the traffic lights cycles and green period ratios in [6]. Moreover, a model for picture fuzzy Dombi aggregation operators is developed in [7] to solve multiple attribute decision-making methods in an updated way. On the other hand, time-delays exist in numerous dynamical systems including biology systems, mechanics, economics, chemical systems, network systems, etc. Generally, time-delays often lead to instability and poor performances. Therefore, it is significant to take time-delays into account in the practical analysis and synthesis problems [810]. In the literature, two basic techniques have been widely utilized, i.e., delay-independent [11] and delay-dependent approaches. The latter makes use of the information on the length of the delays, which can yields less conservative results than the former one. As a matter of fact, most delay-dependent stability and stabilization results are derived via the Lyapunov-Krasovskii function (LKF) method [1214]. However, stability criteria based on the LKF method is sufficient and unnecessary, which leads to the results conservative. Therefore, developing less conservative criteria, i.e., enlarging the feasible region of stability criteria and obtaining the maximum delay bounds of time-delays, has become a popular research issue [1519]. There are two major ways to reduce conservativeness. One is constructing a proper LKF, and the other is applying suitable bounding techniques so that the derivative of the constructed LKF can be estimated. During the recent years, different LKF techniques have been extensively applied, such as piecewise [20,21], fuzzy [22], and line integral [23]. If more information related to delay and cross-term relationship is taken into consideration, less conservative results can be obtained by using the delay-partitioning LKF [24,25], refined LKF [26,27], and delay-product-type LKF [2830]. With multiple integral terms, the conservatism of the obtained results is further lessened [3134]. In terms of bounding techniques, the free-weighting matrix and integral inequality approaches have been used. When more free matrices are introduced in the stability conditions, the corresponding computational complexity is also increased in the free-weighting matrix approach [35]. Therefore, Jensen's inequality is applied to estimate the single integral terms without using any slack matrices [36]. Wirtinger's inequality providing more accurate bounding results is proposed in [37]. In order to obtain better conservative results, some improved inequalities are studied, such as auxiliary function-based integral inequality [38] and free-matrix-based integral inequality [39]. Additionally, Bessel–Legendre inequality that is less conservative than Jensen's and Wirtinger's inequalities is developed in [40]. An extended Wirting's inequality [41] is further applied to the time-delay systems. In order to generate tighter lower bounds for the single integral terms, a new inequality is proposed so that more results on stability analysis for time-delay systems can be derived [42]. However, the above work only considers the single integral terms. Some multiple integral inequalities are introduced in [4345]. For example, Wirtinger's double inequality is applied to handle the double integral terms in [46,47]. To reduce the estimation gap, a new double integral inequality is proposed in [48]. Most of the existing work on the stability and stabilization for the T-S fuzzy delayed systems is based on Parallel Distributed Compensation (PDC) scheme [138], in which both the fuzzy model and fuzzy controller share the same premise membership functions and number of fuzzy rules. However, the design flexibility of such a fuzzy controller is limited and its structure becomes unnecessary in some cases, thus resulting in a high implementation cost. To cope with these issues, design of under imperfect premise matching is studied [49], where the membership function of the fuzzy controller can be selected arbitrarily. Some efforts on developing less conservative stability criteria for this kind of systems have been made in order to enlarge the feasible region of stability criteria as well as acquire the maximum delay bounds. However, in [5054], there are still two open questions: how to select the LKF and how to estimate the derivative of the constructed LKF. Motivated by coping with these two issues, we propose a new augmented LKF containing a triple-integral term in this paper. Moreover, we develop two novel improved integral inequalities, which can generate tighter lower bounds for abx˙TsQx˙sds and tτtutx˙TsSx˙sdsdu than the conventional approaches.

In this paper, we focus on the stability and stabilization issues for the T-S fuzzy systems with the time-delay under imperfect premise matching, in which the fuzzy model and fuzzy controller share different premise membership functions as well as different number of fuzzy rules. With an augmented LKF that contains a triple-integral term, a novel less conservative stability condition with the information of membership functions is proposed on the basis of improved integral inequalities. Moreover, a new design approach under imperfect premise matching is explored. The main contributions of our paper can be summarized as follows:

  • Some less conservative stability criteria are developed and studied so that a larger upper bound of delay can be obtained.

  • The proposed controller design method can not only enhance the design flexibility, but also reduce the implementation cost of the fuzzy controller.

The remainder of this paper is organized as follows: In Section 2, the problem under consideration is first described in details. Novel stability and stabilization conditions under imperfect premise matching are next proposed in Section 3. A total of five numerical examples are used to illustrate the effectiveness and advantages of the proposed method in Section 4. Finally, Section 5 concludes this paper with some conclusions and remarks.

Notations: In this paper, matrices are assumed to have compatible dimensions. Rn refers to the n-dimensional Euclidean space. Rn×m denotes the set of all n×m real matrices. The notation M>,<,0 is used to denote a symmetric positive-definite (positive semi-definite, negative, and negative semi-definite, respectively) matrix. The notation A1 and AT denote the inverse and transpose of A, respectively. r and c are the number of the fuzzy rules. Mαi, α=1,2,,p;i=1,2,,r denotes the fuzzy set of rule i. fαxt are the known premise variables not dependent on the input variables. xtRn is the state variables, ϕt is the initial condition, and τ is constant time-delay satisfying 0ττ¯. utRm is the control input, A1i,A2i,A3i,Bi are some constant matrices with appropriate dimensions. μMαifαxt is the grade of membership of fαxt in Mαi. Nβj denotes the fuzzy set of rule β=1,2,,q;j=1,2,,c. FjRm×n is the feedback gain of rule j. vNβjgβxt is the grade of membership of gβxt in Nβj. εt denotes the white Gaussian noise. diag denotes the block diagonal matrix. 0 denotes the zero matrix. For any square matrix X, we define symX=X+XT. Note that NSR stands for noise-to-signal ratio.

2. SYSTEM DESCRIPTION AND MODELLING

2.1. Fuzzy Time-Delay Model

Consider the following nonlinear system with the state and distributed delays defined by the following T-S fuzzy delayed model. Let r be the number of the fuzzy rules describing the time-delay nonlinear plant. The ith rule can be represented as follows:

Rule i: IF f1xt is M1i and … and fpxt is Mpi THEN

x˙t=A1ixt+A2ixtτ+A3itτtxsds+Biutxt=ϕt,  tτ¯,0(1)
where Mαi, α=1,2,,p;i=1,2,,r denotes the fuzzy set of rule i. fαxt are the known premise variables not dependent on the input variables. xtRn is the state variables, ϕt is the initial condition, and τ is constant time-delay satisfying 0ττ¯. utRm is the control input, A1i,A2i,A3i,Bi are some constant matrices with appropriate dimensions. For a given input and output xt,ut, we can express the T-S fuzzy model as
x˙t=i=1rwixtA1ixt+A2ixtτ+A3itτtxsds+Biut(2)
where
wixt=μixti=1rμixt,μixt=α=1pμMαifαxt.(3)

μMαifαxt is the grade of membership of fαxt in Mαi. Therefore, based on (3), for all i1,2,,r, we have

i=1rwixt=1,wixt0(4)

2.2. Fuzzy Controller Under Imperfect Premise Matching

Different from the PDC design technique, a new fuzzy control law under imperfect premise matching is employed here to establish the state-feedback controller to stabilize the fuzzy time-delay systems in Eq. (2).

Rule j: IF g1xt is N1j and … and gqxt is Nqj THEN

ut=Fjxt,     j=1,2,,c(5)
where Nβj denotes the fuzzy set of rule β=1,2,,q;j=1,2,,c. FjRm×n is the feedback gain of rule j. The overall state-feedback fuzzy control law is represented by
ut=j=1cmjxtFjxt(6)
where
mjxt=vjxtj=1rvjxt,vjxt=β=1qvNβjgβxt(7)

vNβjgβxt is the grade of membership of gβxt in Nβj. Therefore, for all i1,2,,r, we have

j=1cmjxt=1,mjxt0(8)

2.3. Close-Loop Fuzzy Control Systems

The closed-loop form of the nominal system is

x˙t=i=1rj=1chijxtA1i+BiFjxt+A2ixtτ+A3itτtxsds(9)
where
hijxtwixtmjxt(10)

Remark 1.

It can be discovered from Eq. (9) that the fuzzy time-delay model and fuzzy controller do not share the same membership functions that leads to imperfect premise matching. If we set A3i=0, our system has the same structure as that of [4854]. On the other hand, let rc, we can obtain the system in [4852,54]. Moreover, let wixt=mjxt with i,j=1,2,,r, which is the requirement of the conventional PDC-based method. As a result, the representation of the controller dynamics is more general, and can provide more design flexibility.

Lemma 1.

[42] For a positive-definite matrix Q>0 and any continuously differentiated function x:a,bRn, the following inequality holds:

abx˙TsQx˙sds1baΩ1TQΩ1+3baΩ2TQΩ2+5baΩ3TQΩ3+7baΩ4TQΩ4(11)
where
Ω1=xbxa
Ω2=xb+xa2baabxsds
Ω3=xbxa+6baabxsds12ba2abubxsdsdu
Ω4=xb+xa12baabxsds+60ba2abubxsdsdu120ba3abubvbxsdsdudv

Lemma 2.

[48] For a positive-definite matrix Q>0 and any continuously differentiated function x:a,bRn, the following inequality holds:

abubx˙TsQx˙sdsdu2Ω5TQΩ5+4Ω6TQΩ6+6Ω7TQΩ7(12)
where
Ω5=xb1baabxsds
Ω6=xb+2baabxsds6ba2abubxsdsdu
Ω7=xb3baabxsds+24ba2abubxsdsdu60ba3abubvbxsdsdudv

Lemma 3 (Finsler's Lemma [14]).

Given matrices VRn, Φ=ΦTRn×n,NRm×n, if rankN<n, the following three statements are equivalent:

  1. VTΦV<0,NV=0,V0,

  2. NTΦN<0.

  3. LRn×n:Φ+LN+NTL<T0

where N is the orthogonal complement of N.

3. MAIN RESULTS

Theorem 1.

For given scalar h¯ij>0, the system Eq. (9) is asymptotically stable, if there exist symmetric positive matrices PR4n×4n, QRn×n, RRn×n, SRn×n, MijRn×n, any matrices LRn×n,Tii=1,2Rn×n, and predefined Fjj=1,2,,cRn×n, such that

Φ^ij+L˜W^ij+W^ijTL˜TM^ij+i=1rj=1ch¯ijxtM^ij<0(13)
where L˜=LLLLLLRn×6n, Φij=Ω1+Ω2+Ω3+symΘij, and Ωii=1,2,3 are defined as in Eqs. (2325), Wij,Θij are defined in Eqs. (28) and (30).

Proof.

Let us choose the following LKF candidate:

Vxt=ηTtPηt+tτtxTsQxsds+τtτtutx˙TsRx˙sdsdu+tτtutstx˙TγSx˙γdγdsdu(14)
where
ηt=xTttτtxTsdstτtutxTsdsdutτtutstxTγdγdsduT(15)

Differentiation of Vxt along the trajectories of system Eq. (9) yields

V˙xt=2ηTtPη˙t+xTtQxtxTtτQxtτ+τ2x˙TtRx˙t+τ22x˙TtSx˙tτtτtx˙TsRx˙sdstτtutx˙TsSx˙sdsdu=ξTtsyme1Te4Te5Te6T×P×e3e1e2τe1e4τ22e1e5+e1TQe1e2TQe2+τ2e3TRe3+τ22e3TSe3ξtτtτtx˙TsRx˙sdstτtutx˙TsSx˙sdsdu(16)

Define

ξTt=xTt  xTtτ  x˙Tt  tτtxTsdstτtutxTsdsdu  tτtutstxTγdγdsdu(17)
ei=00Ii0Rn×6n,i=1,2,,6.(18)

We have

ξTte1T=xTt;   ξTte2T=xTtτ;ξTte3T=x˙t;   ξTte4T=tτtxTsds;ξTte5T=tτtutxTsdsdu;ξTte6T=tτtutstxTγdγdsdu(19)

From Lemma 1, there is

τtτtx˙TsRx˙sdsξTte1e2TRe1e23e1+e22τe4TRe1+e22τe45e1e2+6τe412τ2e5TRe1e2+6τe412τ2e57e1+e212τe4+60τ2e5120τ3e6TRe1+e212τe4+60τ2e5120τ3e6ξt(20)

By Lemma 2, we get

tτtutx˙TsSx˙sdsξTt2e11τe4TRe11τe44e1+2τe44τ2e5TRe1+2τe44τ2e56e13τe4+24τ2e560τ2e6TRe13τe4+24τ2e560τ2e6ξt(21)

The above inequalities are introduced to Eq. (16), and we have

V˙xtξTtΩ1+Ω2+Ω3ξt(22)
where
Ω1=syme1Te4Te5Te6T×P×e3e1e2τe1e4τ22e1e5(23)
Ω2=e1e2TRe1e23e1+e22τe4TRe1+e22τe45e1e2+6τe412τ2e5TRe1e2+6τe412τ2e57e1+e212τe4+60τ2e5120τ3e6TRe1+e212τe4+60τ2e5120τ3e6(24)
Ω3=2e11τe4TRe11τe44e1+2τe44τ2e5TRe1+2τe44τ2e56e13τe4+24τ2e560τ2e6TRe13τe4+24τ2e560τ2e6(25)

From Eq. (9), the following equation holds

2i=1rj=1chijA1i+BiFjxt+A2ixtτ+A3itτtxsdsx˙t=0(26)

The above equation can be rewritten as follows:

2i=1rj=1chijWijξt=0(27)
where
Wij=A1i+BiFjA2iIA3ie1e2e3e4T(28)

For two arbitrary matrices with appropriate dimensions T1 and T2, we can obtain

2ξTti=1rj=1chije1T1+e3T2Wijξt=0(29)

Define

Θij=e1T1+e3T2Wij.(30)
ξTt2i=1rj=1chijΘijξt=0(31)

By introducing the above zero quantities to Eq. (22), we can obtain

V˙xtξTtΩ1+Ω2+Ω3ξt+ξTt2i=1rj=1chijΘijξt=i=1rj=1chijξTtΩ1+Ω2+Ω3+Θij+ΘijTξt(32)

Define

Φij=Ω1+Ω2+Ω3+Θij+ΘijT(33)

If Φij<0, then V˙xt<0.

According to statements of (i) and (iii) of Lemma 3, if ξTtΦijξt<0, and Wijξt=0, there exists L~=[LLL LLL]Rn×6n such that

Φij+L˜Wij+WijTL˜T<0.(34)

Furthermore, the information of membership function is used to alleviate the conservativeness as in [53].

V˙xti=1rj=1chijxtξTtΦij+L˜Wij+WijTL˜Tξti=1rj=1chijxtξTtΦij+L˜Wij+WijTL˜Tξt+i=1rj=1ch¯ijhijξTtMijξt=i=1rj=1chijxtξTtΦij+L˜Wij+WijTL˜TMijξt+i=1rj=1ch¯ijxtξTtMijξt=i=1rj=1chijxtξTtΦij+L˜Wij+WijTL˜TMij+α=1rβ=1ch¯αβxtMαβξt(35)
where hijh¯ij,h¯ij is the upper bound of hij, and Mij=MijT is a relax matrix. If
Φij+L˜Wij+WijTL˜TMij+i=1rj=1ch¯ijxtMij<0(36)
we have V˙xt<0.

Remark 2.

It is apparent that the inequalities in Lemma 1 we introduce can produce tighter lower bounds for abx˙TsQx˙sds than the extended Wirtinger's integral inequality [41], since 7Ω4TQΩ4>0 for any vectors Ω40. If we set Ω4=0, Lemma 1 will reduce to the extended Wirtinger-based integral inequalities [41]. To authors' best knowledge, most tight lower bounds of the cross terms, such as abx˙TsQx˙sds emerging in the derivative of LKF, can be produced from Lemma 1. Therefore, the stability criteria deduced from Lemma 1 is the least conservative as compared with those derived from Wirtinger's integral inequality for choosing the same LKF.

Remark 3.

The triple-integral term tτtutstx˙TγSx˙γdγdsdu is introduced in the LKF in our paper. Since the triple-integral term takes the amount of additional system information into account, it is beneficial to reduce the conservatism.

Remark 4.

A novel double integral inequality in Lemma 2 is introduced to deal with the time derivative of the triple-integral term tτtutstx˙TγSx˙γdγdsdu. Because the relationship between the tτtutx˙TsSx˙sdsdu and abxsds, abubxsdsdu, abubvbxsdsdudv is considered in this paper, the most tight lower bounds of double integral form tτtutx˙TsSx˙sdsdu are obtained, which may yield less conservative results.

Remark 5.

In the proof of Theorem 1, the membership functions are considered in the inequalities, and an improved membership function information dependent stability criterion is presented, which will lessen the conservatism of the existing results based on the PDC scheme. Consequently, the stability conditions in Theorem 1 are more relax than the ones that are membership function independent.

Remark 6.

From Theorem 1, as the PDC scheme claims that the fuzzy model and fuzzy controller must share the same membership function, it is worthy to note that PDC-based stability analysis cannot handle the case when rc and wixtmixt. On the other hand, the case of wixtmjxt, where i=j=1,2,,r is explored in [4854]. However, our method presented in Theorem 1 is effective to resolve all these cases. In other words, the above case is the special case of Theorem 1. Consequently, the stability criterion proposed in this paper is more general.

Remark 7.

With the zero equality in Eq. (27) and the free matrices Tii=1,2 we have introduced, a new less conservative delay-dependent stability criterion is established.

As the controller in Theorem 1 is known, we will next investigate how to design the unmatching controller.

Theorem 2.

For a given scalar h¯ij>0 and tii=1,2, the system Eq. (9) is asymptotically stable if there exist symmetric positive matrices P^R4n×4n, Q^Rn×n, R^Rn×n,S^Rn×n,M^ijRn×n, and any matrices L˜=LLLLLLRn×6n, LRn×n, and Yjj=1,2,,cRn×n, such that

Φ^ij+L˜W^ij+W^ijTL˜TM^ij+i=1rj=1ch¯ijxtM^ij<0(37)
where Φ^ij=Ω^1+Ω^2+Ω^3+symΘ^ij, and Θ^ij,L˜W^ij are defined as Eqs. (39) and (40). Ω^ii=1,2,3 are defined in Eqs. (4143). If the above matrix inequalities have feasible solutions, the controller gain can be defined as
Fj=YjLTj=1,2,,c(38)

Proof.

Pre and postmultiply both the diag L1  L1  L1L1  L1  L1 and its transpose to Eq. (34). Let Ti=tiLi=1,2, and denote new variables Q^=LQLT, R^=LRLT, M^ij=LMijLT and P^=L1L1L1L1PL1L1L1L1T. With Fj=YjLT,j=1,2,,c, we have

Θ^ij=e1t1+e3t2×A1iLTe1T+BiYje1T+A2iLTe2TLTe3+A3iLTe4T,(39)
L˜W^ij=LLLLLL×A1iLTe1T+BiYje1T+A2iLTe2TLTe3+A3iLTe4T(40)
Ω^1=syme1Te4Te5Te6T×P^×e3e1e2τe1e4τ22e1e5(41)
Ω^2=e1e2TR^e1e23e1+e22τe4TR^e1+e22τe45e1e2+6τe412τ2e5TR^e1e2+6τe412τ2e57e1+e212τe4+60τ2e5120τ3e6TR^e1+e212τe4+60τ2e5120τ3e6(42)
Ω^3=2e11τe4TR^e11τe44e1+2τe44τ2e5TR^e1+2τe44τ2e56e13τe4+24τ2e560τ2e6TR^e13τe4+24τ2e560τ2e6(43)

Thus, if Eq. (37) holds, the system Eq. (9) is asymptotically stable with the feedback controller, which is defined as j=1cmjYjLT. This completes the proof.

Remark 8.

Different from the general PDC technique, the design method under the imperfect premise matching is much more flexible, since the number of the fuzzy rules and membership functions of fuzzy controller can be chosen different from those of the fuzzy model. Therefore, certain simple and certain membership functions of the fuzzy controller might be employed, which can reduce the implementation cost.

Remark 9.

The matrices Ti=tiLi=1,2 are introduced to deal with the bilinear matrix inequality to realize the LMI criteria. Some numerical optimization algorithms can be used to obtain more suitable parameters of tii=1,2 so as to reduce the conservatism.

4. NUMERICAL EXAMPLES

In this section, a total of five examples are introduced to illustrate the effectiveness and efficiency of the proposed method. The first example shows the improvement of stability conditions. The second example demonstrates the improvement of stabilization conditions of the new controller design approach. The efficiency of our controller design method is further validated in Example 3. The robustness of this scheme against the measurement noise is illustrated in Example 4. Finally, in Example 5, the continuous Stirred Tank Reactor (CSTR), a benchmark problem for nonlinear process control, is used to verify the validation of the proposed approach.

Example 1.

Consider the two rules of the T-S fuzzy system [15] in the form of (9) with ut=0 and the parameters as follows:

A11=2.10.10.20.9,A12=1.900.21.1,A21=1.10.10.80.9,A22=0.901.11.2,A31=A32=0000

For comparison with the results reported in the existing literature, the maximum values of time-delay τ are given in Table 1.

Paper τ
[16] 0.65
[17] 1.25
[19] 3.37
[15] 4.71
[18] 5.58
[47] 5.73
Theorem 1 5.92
Table 1

Maximum value of τ (Example 1).

From Table 1, we can see that larger time-delays are obtained based on the less conservativeness of our method.

Example 2.

Consider the two rules of the T-S fuzzy system [15] in the form of (9) with the following parameters:

A11=00.601,A12=1010,A21=0.50.902,A22=0.9011.6,A31=A32=0000,B1=B2=11.

The membership functions are chosen as [49]:

w1x1t=1ctsin|x1t|451+exp100x1t31x1t×cosx1t21+exp2.5x1t3+x1t0.42,
w2x1t=1w1x1t
where ct=sinx1t+1400.050.05, x1tπ2   π2, and ct is an uncertain variable.

By Theorem 2, the fuzzy controller with different membership functions from those of the fuzzy model can be designed as

ut=j=12mjx1tFjxt

Under the imperfect premise matching, some simple membership functions can be chosen as

m1x1t=0.93expx1t4×1.52,m2x1t=1m1x1t.

The maximum value of time-delay is obtained, and the comparisons with the other results are provided in Table 2. Note that the controller gains are given as follows:

F1=[2.61466.1300],F2=[2.53937.5190].

Paper τ
[8] 0.1524
[19] 0.2664
[9] 0.6611
[15] 0.8420
[10] 1.0947
[47] 1.1403
Theorem 2 1.3241
Table 2

Maximum value of τ (Example 2).

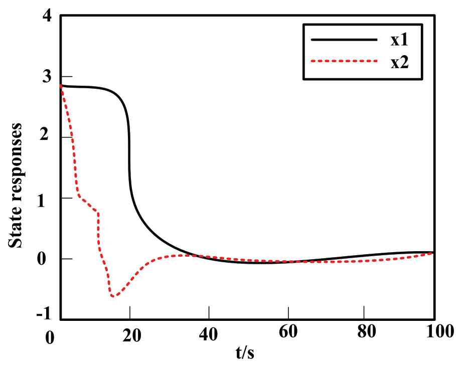
With the initial x0=01.6T and τ=1.3241, the simulation result is shown in Figure 1, which illustrates that the overall system is stable.

Figure 1

State response of the closed-loop system.

From Table 2, it is apparent that our technique can lead to larger time-delays, and the stable area can be expanded via the unmatching state-feedback controller design scheme.

Remark 10.

In Example 2, our method offers less conservative results in the sense of allowing longer time-delay. Moreover, compared with the results based on the PDC, where the fuzzy controller must have the same membership functions as those of the fuzzy model, our fuzzy controller shares much simpler membership functions, which leads a low implementation cost and enhances design flexibility.

Remark 11.

In Example 2, since the parameter ct in w1x1t is unknown, the fuzzy controller cannot be implemented based on the PDC design technique. However, with our new design method, some simpler and certain membership functions can be chosen for an easy fuzzy controller implementation.

Example 3.

Consider the three rules of T-S fuzzy system [53] in the form of (9) with the following parameters:

A11=1610,A12=100.511,A13=10.511A21=10.20.20,A22=00.20.22,A23=00.20.22,A31=A32=A33=0000,B1=10.5,B2=362,B3=10.01
where the membership functions are chosen as
w1x1t=10.61+e3ctx1t,w2x1t=1w1x1tw3x1t,w3x1t=0.41+e3ctx1t(44)

Here, ct is described the same as in Example 2. From Theorem 2, some membership functions with different rules from the fuzzy model can be selected as

m1x1t=0.70.51+e4x1t,m2x1t=1m1x1t(45)

The states response of the closed-loop system under the initial condition x0=31T and time-delay τ=1 is shown in Figure 2. For comparison, the state response from [53] is given in Figure 3. From these two figures, we can find out that they are capable of stabilizing the system at t=40s and t=100s, respectively. That is to say, under the same conditions, our controller design method can stabilize the control system within a much shorter period of time.

Figure 2

State response of the closed-loop system.

Figure 3

State response of the closed-loop system [53].

Remark 12.

As the number of fuzzy rules and the membership functions employed for the polynomial fuzzy model and polynomial fuzzy controller are different, we emphasize that many existing stabilization cannot be directly applied in this case.

Remark 13.

Compared with the unmatching design method [53] in case of the same time-delay, our approach can stabilize the system faster.

Example 4.

Consider the following system with measurement noise:

x˙t=i=13wix1tA1ixt+A2ixtτ+Biut+Cixtεt
where εt denotes the white Gaussian noise, and NSR = 0.01. The parameters are given as follows:
A11=0.30.70.20.4,A12=0.510.20.50.7,A13=0.70.40.50.6,A21=A22=A23=0000,B1=1234,B2=2111,B3=1131C1=0.2010.20.50.05,C2=0.20.20.90.2,C3=0.30.80.40.01.

The membership functions are the same as in (44). From Theorem 2, the membership functions of the fuzzy controller are chosen as in (45).

Using the MATLAB LMIs toolbox, we can get the following controller gains:

F1=0.35001.20000.10001.0300,F2=0.40001.80001.20003.1000,F3=0.05000.30000.40001.000.

Based on the Monte Carlo simulation, the state response along the Gaussian noise path of the closed-loop system and the control input under t0,T,T=15,δt=T/N, N=28, Δt=Rδt, R=6 and the initial condition x0=1.50.5T are shown in Figures 4 and 5, respectively. It can be observed that our controller design method is well capable of stabilizing the system even in the presence of the white Gaussian noise.

Figure 4

State response of the closed-loop system under white Gaussian noise.

Figure 5

Control input of the closed-loop system.

Part of the simulation codes used in the above examples can be downloaded from the following link: https://www.jianguoyun.com/p/DRTzbyAQkb-_CBj1iJ8D

Example 5.

To further demonstrate the effectiveness of the proposed method, in this example, we consider the CSTR benchmark problem, which has a lot of interesting features characterized by highly nonlinear behaviors [55]. The following dimensionless model of the CSTR is used [56]:

x˙1t=1λx1t+Dα1x1texpx2t1+x2tγ0+1λ1x1tτ,(46)
x˙2t=1λ+βx2t+1λ1x2tτ+βut+HDα1x1texpx2t1+x2tγ0,(47)
where x1t is the reactor conversion rate, x2t is the dimensionless temperature, ut denotes the input, λ,Dα,γ0,H,β,Tw denote the dimensionless system parameters, and τ is the time-delay. For sake of convenience, we set γ0=20,H=8,β=1,Dα=0.072,λ=0.8. There are three equilibrium points in the CSTR system: x10=0.14400.8862,x20=0.44722.7520, and x30=0.76464.7052. On the basis of these three equilibrium points, the following T-S fuzzy model is constructed:

Rule 1: IF x2t is small (0.8862), THEN

x˙t=A1xt+Ad1xtτ+But,

Rule 2: IF x2t is middle (2.7520), THEN

x˙t=A2xt+Ad2xtτ+But,

Rule 3: IF x2t is large (4.7052), THEN

x˙t=A3xt+Ad3xtτ+But,
where
A1=1.41820.13201.34571.1937,A2=2.05900.34566.47200.5146,A3=4.49781.166625.98261.7584,Adi=0.25000.25,i=1,2,3,B=01T.

The membership functions are chosen the same as in Eq. (44). Therefore, we have

x˙t=i=13wix2tAixt+Adixtτ+But,

Under the imperfect premise matching, the state-feedback fuzzy controller can be designed as follows:

ut=j=12mjx2tFjxt.
where mj,j=1,2 are selected as in Eq. (45).

Based on Theorem 2, the controller gains are obtained:

F1=[1.301386.4765],F2=[5.348786.3894],F3=[23.211887.0754].

Under the initial conditions x10=0.90.9T,

x20=2.72.7T,x30=4.54.5T, and τ=2, the simulation results are given in Figures 6a6c, which show that the controller designed with the imperfect premise matching can stabilize the nonlinear CSTR systems under different initial states. It is clearly visible that the membership functions of the fuzzy model (44) contain uncertain parameters, and may lead to unrealizable controllers in the conventional PDC scheme. However, with the imperfect premise matching, we can select certain functions as the membership functions of the controller designed using our method so as to stabilize the CSTR system.

Figure 6a

Systems responses under x10.

Figure 6b

Systems responses under x20.

Figure 6c

Systems responses under x30.

5. CONCLUSIONS

In this paper, the stability and stabilization issues for the T-S fuzzy systems with time-delay under imperfect premise matching are investigated. A less conservative and improved membership functions dependent stability criterion has been derived by introducing an improved integral inequality, which owns tighter lower bounds than Wirting's inequality. Additionally, a new design technique under imperfect premise matching is developed, which can significantly improve the design flexibility by arbitrarily selecting the fuzzy rules and fuzzy membership functions. A total of five examples are used to illustrate the conservativeness and effectiveness of our novel methods. We emphasize that the proposed techniques are valid only under the circumstance of the control systems without uncertainty. Therefore, how to extend them to the uncertain T-S fuzzy time-delay systems and obtain the corresponding robust stability condition will be an important topic in our future work.

CONFLICTS OF INTEREST

The authors declare that they have no conflicts of interest to report regarding the present study.

AUTHORS' CONTRIBUTIONS

Z.Z. and W.W. proposed the theoretical analysis; Z.Z. conducted the simulations and wrote the paper. X. G. polished the language of the paper.

Funding Statement

This work was supported by projects (51805008, 51875113) of the National Natural Science Foundation of China (NSFC) and Project (JJKH20190644KJ, JJKH20190639KJ) of the Scientific Research of Jilin Provincial Department of Education.

ACKNOWLEDGMENTS

The authors would like to thank to the anonymous reviewers and editor for their insightful comments.

REFERENCES

2.W.H. Ho, S.H. Chen, I.T. Chen, J.H. Chou, and C.C. Shu, Design of stable and quadratic-optimal static output feed-back controllers for T-S-fuzzy-model-based control systems: an integrative computational approach, Int. J. Innov. Comput. Inf. Control, Vol. 8, 2012, pp. 403-418.
6.R.P. Gil, Z.C. Johanyak, T. Kovacs, et al., Surrogate model based optimization of traffic lights cycles and green period ratios using microscopic simulation and fuzzy rule interpolation, Int. J. Artif. Intell., Vol. 16, 2018, pp. 20-40.
11.Z.J. Zhang, X.L. Huang, X.J. Ban, and X.Z. Gao, Stability analysis and controller design of T-S fuzzy systems with time-delay under imperfect premise matching, J. Beijing Inst. Technol., Vol. 21, 2012, pp. 387-393.
44.E. Gyurkovics, K. Kiss, I. Nagy, et al., Multiple summation inequalities and their application to stability analysis of discrete time delay systems, Journal of the Franklin Institute, Vol. 354, 2016, pp. 123-144.
Journal
International Journal of Computational Intelligence Systems
Volume-Issue
14 - 1
Pages
11 - 22
Publication Date
2020/11/18
ISSN (Online)
1875-6883
ISSN (Print)
1875-6891
DOI
10.2991/ijcis.d.201112.001How to use a DOI?
Copyright
© 2021 The Authors. Published by Atlantis Press B.V.
Open Access
This is an open access article distributed under the CC BY-NC 4.0 license (http://creativecommons.org/licenses/by-nc/4.0/).

Cite this article

TY  - JOUR
AU  - Zejian Zhang
AU  - Dawei Wang
AU  - Xiao-Zhi Gao
PY  - 2020
DA  - 2020/11/18
TI  - Stability and Stabilization Condition for T-S Fuzzy Systems with Time-Delay under Imperfect Premise Matching via an Integral Inequality
JO  - International Journal of Computational Intelligence Systems
SP  - 11
EP  - 22
VL  - 14
IS  - 1
SN  - 1875-6883
UR  - https://doi.org/10.2991/ijcis.d.201112.001
DO  - 10.2991/ijcis.d.201112.001
ID  - Zhang2020
ER  -