Journal of Nonlinear Mathematical Physics

Volume 28, Issue 2, June 2021, Pages 219 - 241

On Lie Symmetry Analysis of Certain Coupled Fractional Ordinary Differential Equations

Authors
K. Sethukumarasamy1, *, P. Vijayaraju1, P. Prakash2, ORCID
1Department of Mathematics, Anna University, Chennai – 600 025, India
2Department of Mathematics, Amrita School of Engineering, Amrita Vishwa Vidyapeetham, Coimbatore – 641 112, India
*Corresponding author. Email: mathsethu@gmail.com
Corresponding Author
K. Sethukumarasamy
Received 11 November 2020, Accepted 13 March 2021, Available Online 31 March 2021.
DOI
10.2991/jnmp.k.210315.001How to use a DOI?
Keywords
System of fractional ODEs; Lie group formalism; Laplace transform technique; Mittag-Leffler function; Exact solution
Abstract

In this article, we explain how to extend the Lie symmetry analysis method for n-coupled system of fractional ordinary differential equations in the sense of Riemann-Liouville fractional derivative. Also, we systematically investigated how to derive Lie point symmetries of scalar and coupled fractional ordinary differential equations namely (i) fractional Thomas-Fermi equation, (ii) Bagley-Torvik equation, (iii) two-coupled system of fractional quartic oscillator, (iv) fractional type coupled equation of motion and (v) fractional Lotka-Volterra ABC system.The dimensions of the symmetry algebras for the Bagley-Torvik equation and its various cases are greater than 2 and for this reason we construct optimal system of one-dimensional subalgebras. In addition, the exact solutions of the above mentioned fractional ordinary differential equations are explicitly derived wherever possible using the obtained symmetries.

Copyright
© 2021 The Authors. Published by Atlantis Press B.V.
Open Access
This is an open access article distributed under the CC BY-NC 4.0 license (http://creativecommons.org/licenses/by-nc/4.0/).

1. INTRODUCTION

Fractional calculus has been effectively used in recent years to study many complex nonlinear phenomena. A natural phenomenon may depend not only on the instantaneous time but also on the past history of time. Such a phenomenon can be successfully modeled by the theory of differential equations involving derivatives and integrals of arbitrary order. With the virtue of nonlocal property of fractional derivatives, the fractional differential equations (FDEs) have been used to describe such scenarios precisely in the area of science and engineering such as viscoelasticity [3], hydrodynamics [64], quantum mechanics [36] and so on [16,2426,32,42,63].

The derivation of the exact solution of the differential equation is important because the geometrical and physical meaning of the problem can be easily obtained. In literature, no well-defined analytic methods exist for deriving the exact solutions of fractional ordinary differential equations (FODEs). However, the derivation of the exact solution of FDEs is not an easy task since the properties of a fractional derivative are harder than the classical derivative. Recently, several research groups have been developed to derive the exact and numerical solutions of FDEs such as invariant subspace method [11,21,39,5153,57,58,71], variational iteration method [44], homotopy perturbation method [45], operational matrix method [55], collocation method [40] and so on [14,23,68,69].

Among those methods, the Lie symmetry analysis method is an algorithmic approach that provides an efficient tool to construct an exact solution of FDEs in a systematic way. Initially, this method was proposed by Norwegian mathematician Sophus Lie during the 19th century and was further developed by Ovsianikov [49] and others [5,10,27,31,34,38,4648,56,62]. The Lie symmetry analysis method is to find continuous transformations of one or more parameters leaving the differential equation invariant in the new coordinate system wherein the resulting differential equation is easier to solve. Gazizov et al. [18] extended the Lie symmetry analysis of differential equations to FDEs. Recently, many mathematicians and physicists have investigated and developed the theory of Lie symmetry analysis for FODEs and fractional partial differential equations (FPDEs) [4,6,7,9,15,1820,29,30,37,54,5961,70].

We would like to mention that only a very few applications of Lie point symmetries of scalar and coupled FODEs have been investigated. To the best of our knowledge, no one has extended the Lie symmetry analysis to n-coupled FODEs. The main aim of this article is to demonstrate how the Lie symmetry approach provides an efficient tool to derive exact solutions of scalar and coupled nonlinear FODEs. More precisely, Lie symmetries of fractional Thomas-Fermi equation, Bagley-Torvik equation, two-coupled system of fractional quartic oscillator, fractional type coupled equation of motion and fractional Lotka-Volterra ABC system are derived. Using the obtained symmetries, we explicitly derived the exact solution of the above-mentioned FODEs wherever possible. In addition, the dimensions of the symmetry algebras for the Bagley-Torvik equation and its various cases are greater than 2 and for this reason, we construct the optimal system of one-dimensional subalgebras.

The article is organized as follows: For the sake of completeness, in section 2, we recall certain basic definitions pertaining to the fractional calculus. The Lie symmetry analysis of the coupled system of FODEs is presented. The applicability and effectiveness of this method have been illustrated through the above mentioned FODEs in section 3. In section 4, we summarize our results as concluding remarks of this paper.

2. PRELIMINARIES

In this section, we present some basic concepts and results of the fractional calculus. We also present brief details of symmetry analysis for scalar and coupled system of FODEs.

Definition 2.1.

[50] Let x(t) ∈ L1[a, b] and α ∈ ℝ+. Then the Riemann-Liouville (R-L) fractional differential operator of order α > 0 is defined by

aDtαx(t)={1Γ(n-α)dndtnat(t-ξ)n-α-1x(ξ)dξ,ifα(n-1,n),n𝕅x(n)(t),ifα=n𝕅 (2.1)
for t > a.

Note that L1[a, b] denotes the space of absolutely integrable functions on [a, b].

Note 1. [32,50] The R-L fractional derivative of order α for x(t) = tβ is as follows:

0Dtαtβ=Γ(β+1)Γ(β-α+1)tβ-α,β>-1,α0.

Note 2. The Leibniz formula for the R-L fractional derivative is of the following form:

aDtα(x1(t)x2(t))=k=0(αk)aDtα-kx1(t)Dtkx2(t),α>0, (2.2)
where (αk)=Γ(1+α)Γ(α-k+1)Γ(k+1).

Note 3. [50] Let α ∈ (n − 1, n], n ∈ ℕ. Then the Laplace transformation of R-L derivative (2.1) is given by

L{0Dtαx(t)}=sαx(s)-k=0n-1skDα-k-1x(t)|t=0,𝔕(s)>0, (2.3)
where x(s)=L{x(t)}=0e-stx(t)dt.

Definition 2.2.

[43] The generalized Mittag-Leffler function with three parameters is defined as

Eρ,μγ(z)=k=0(γ)kzkΓ(ρk+μ)k!,ρ,μ,γ𝔺,𝔕(ρ)>0,𝔕(μ)>0, (2.4)
where (γ)k=Γ(γ+k)Γ(γ)and (γ)0 = 1 for ℛ(γ) > 0.

Note 4. The Laplace transformation of the Mittag-Leffler functions are given by [6]

  1. (i)

    L{tμ-1Eρ,μγ(±atρ)}={sργ-μ(sρa)γ,ifμργ,𝔕(s)>|a|1ρ,1(sρa)γ,ifμ=ργ,𝔕(s)>|a|1ρ.

  2. (ii)

    L{tμ-1Eρ,μ(atρ)}=[sρ-μsρ±a;t[.

  3. (iii)

    L{tρ-δr=0(-a)rt(ρ-μ)rEρ,ρ+(ρ-μ)r-δ+1r+1(-btρ)}=[sδ-1sρ+asμ+b;t].

2.1. Symmetry Analysis for FODE

Consider the following generalized FODE of the form

aDtα+kx=G(t,x,aDtαx,aDtα+1x,,aDtα+k-1x),α𝕉+,t>0,k𝕅{0}, (2.5)
where t and x are independent and dependent variables respectively. Assume that equation (2.5) is invariant under the following one parameter () Lie group of continuous point transformations [6,18,19,29,54]
t¯t+τ(t,x)+O(2),x¯x+ζ(t,x)+O(2),x¯(k)x(k)+ζ(k)+O(2),k𝕅,aDt¯αx¯aDtαx+ζ(α)+O(2),aDt¯α+kx¯aDtα+kx+ζ(α+k)+O(2),k𝕅. (2.6)

We apply the transformations (2.6) in (2.5) and omit the higher powers of ∊. Then by comparing the coefficients of on both the sides of the resulting equation we obtain

[ζ(α+k)-τGt-ζGx-r=0kζ(α+r-1)GaDtα+r-1x-r=0kζ(r)Gx(r)]|H=0=0,
where H=aDtα+kx-G, k ∈ ℕ ∪ {0}, which is the invariant equation for (2.5). Therefore, the infinitesimal generator becomes
X=τ(t,x)t+ζ(t,x)x,
where
τ(t,x)=dt¯d|=0,ζ(t,x)=dx¯d|=0.

Therefore, the prolongation formula for (2.5) can be written as

Pr(α+k)X(H)=[ζ(α+k)-XG-r=0kζ(α+r-1)GaDtα+r-1x-r=0kζ(r)Gx(r)]|H=0=0,
where H=aDtα+kx-G, k ∈ ℕ ∪ {0} and the infinitesimals are calculated as follows [6,18,19,29,54]
ζ(k)=D(ζ(k-1))-x(k)D(τ)=Dk(ζ-τx(1))+τx(k+1),k𝕅, (2.7)
ζ(α+k)=aDtα+k(ζ-τx(1))+τaDtα+k-1x=aDtα+k(ζ)+n=0(α+kn)(n-(α+k)n+1)aDtα+k-nxDtn+1(τ),α>0. (2.8)

Note 5. The lower limit of the R-L fractional derivative (2.1) is fixed. Therefore, it should be invariant at t = a, under the given transformation (2.6). Thus, we obtain the invariant condition as

τ(a,x)=a. (2.9)

Definition 2.3.

A function F(x, t) is an invariant of FODE (2.5) if F(x, t) is an invariant surface, that is XF = 0 which implies the following

(τFt+ζFx)=0.

Note 6. [28] The Lie bracket [X1, X2] of operators

X1=τ1t+ζ1xandX2=τ2t+ζ2x
is given by
[X1,X2]=X1(X2)-X2(X1)=(X1(τ2)-X2(τ1))t+(X1(ζ2)-X2(ζ1))x. (2.10)

Definition 2.4.

[28] A Lie algebra is a real linear space ℒ together with a binary operation [·, ·]: × ℒ satisfying the following properties:

  1. (i)

    [X, Y] = − [Y, X],

  2. (ii)

    [aX + bY, Z] = a [X, Z] + b [Y, Z],

  3. (iii)

    [[X, Y], Z] + [[Y, Z], X] + [[Z, X], Y] = 0,

for X, Y, Zℒ and a, b ∈ ℝ. The binary operation [·, ·] is known as Lie bracket defined in equation (2.10).

2.2. Symmetry Analysis for Coupled System of FODEs

Let us first present the Lie symmetry analysis for the two-coupled system of FODEs in the sense of R-L fractional derivative. Then we shall extend this method for the n-coupled system of FODEs.

2.2.1. Symmetry analysis for two-coupled system of FODEs

Consider the following two-coupled system of FODE in the sense of R-L fractional derivative

aDtαx1(t)=f1(t,x1,x2),aDtαx2(t)=f2(t,x1,x2),α>0, (2.11)
where aDtαxi(t)=dαxidtα for i = 1, 2 and f1, f2 are arbitrary functions. Here we assume that system (2.11) is invariant under one-parameter () Lie group of continuous point transformations
t¯t+τ(t,x1,x2)+O(2),x¯1bluex1+ζx1(t,x1,x2)+O(2),x¯2x2+ζx2(t,x1,x2)+O(2),aDt¯αx¯1aDtαx1+ζx1(α)(t,x1,x2)+O(2),aDt¯αx¯2aDtαx2+ζx2(α)(t,x1,x2)+O(2), (2.12)
where ζx1(α) and ζx2(α) are αth extended infinitesimals that are derived in the following theorem.

Theorem 2.1.

The αth (α ∈ ℝ+) extended infinitesimals for the two-coupled system of FODEs in the sense of R-L fractional derivative are given by

ζx1(α)=aDtα(ζ-τx1(1))+τaDtα+1(x1),ζx2(α)=aDtα(ζ-τx2(1))+τaDtα+1(x2). (2.13)

Proof. The Leibniz rule for fractional derivative is given by

aDtα(ϕ(t)ψ(t))=n=0(αn)aDtα-nϕ(t)ψ(n)(t),α>0, (2.14)
where the binomial coefficient is given by (αn)=Γ(1+α)Γ(α-n+1)Γ(n+1). By substituting ϕ(t) = 1 and ψ(t)=x¯1(t¯) in Leibniz rule given by equation (2.14) we obtain
aDtα(x¯1(t¯))=n=0(αn)(t¯-a)n-αΓ(n-α+1)x¯1(n)(t¯). (2.15)

Similarly, we obtain

aDtα(x¯2(t¯))=n=0(αn)(t¯-a)n-αΓ(n-α+1)x¯2(n)(t¯). (2.16)

By the definition of extended αth infinitesimals, we have

ζx1(α)=dd[aDtα(x¯1(t¯))]=0, (2.17)

ζx2(α)=dd[aDtα(x¯2(t¯))]=0. (2.18)

Substituting equation (2.15) in (2.17), we obtain

ζx1(α)=dd[n=0(αn)(t¯-a)n-αΓ(n-α+1)x¯2(n)(t¯)]=0. (2.19)

After the use of infinitesimal transformation given by equation (2.12) and simplification, the above equation (2.19) becomes

ζx1(α)=n=0(αn)(t-a)n-αζ(n)Γ(n-α+1)+n=0τ(n-α)(t-a)n-α-1x1(n)(t)Γ(n-α+1). (2.20)

Substituting equation (2.7) in the above equation (2.20), we obtain

ζx1(α)=n=0(αn)(t-a)n-αDn(ζ-τx1(1)(t))Γ(n-α+1)+n=0τ(t-a)n-αx1(n+1)(t)Γ(n-α+1)+n=0(αn)τ(n-α)(t-a)n-α-1x1(n)(t)Γ(n-α+1). (2.21)

In the first term of the above equation (2.21) we apply (2.15). Then replacing n by n − 1 in the second term and substituting n = 0 in the third term of the above equation (2.21) we obtain

ζx1(α)=aDtα(ζ-τx1(1))+n=1(αn-1)τ(t-a)n-α-1x1(n)(t)Γ(n-α)-τα(t-a)-α-1x1(t)Γ(1-α)+n=0(αn)τ(n-α)(t-a)n-α-1x1(n)(t)Γ(n-α+1). (2.22)

The above equation (2.22) can be further simplified by using the relation (αn-1)+(αn)=(α+1n) to get

ζx1(α)=aDtα(ζ-τx1(1))+n=0(α+1n)(t-a)n-α-1τx1(n)Γ(n-α). (2.23)

Applying (2.15) in (2.23) we obtain,

ζx1(α)=aDtα(ζ-τx1(1))+τaDtα+1(x1). (2.24)

In a similar manner, we obtain

ζx2(α)=aDtα(ζ-τx2(1))+τaDtα+1(x2). (2.25)

Remark 1.

Applying the generalized Leibniz rule (2.2) in the extended infinitesimals given by equations (2.24) and (2.25) we obtain

ζx1(α)=aDtα(ζx1)-αDt(τ)aDtα(x1)+n=1(αn)(n-αn+1)aDtα-n(x1)Dtn+1(τ),ζx2(α)=aDtα(ζx2)-αDt(τ)aDtα(x2)+n=1(αn)(n-αn+1)aDtα-n(x2)Dtn+1(τ).

2.2.2. Symmetry analysis for n-coupled system of FODEs

In this subsection, we consider the n-coupled system of FODEs in the sense of R-L fractional derivative, having the form

aDtαx1=f1(t,x1,x2,,xn),aDtαx2=f2(t,x1,x2,,xn),aDtαxn=fn(t,x1,x2,,xn), (2.26)
where aDtαxi=dαxidtα, for i = 1, 2, …, n, α > 0 and f1, f2, …, fn are arbitrary functions. Assuming that system (2.26) is invariant under one-parameter () Lie group of continuous point transformations, we obtain
t¯t+τ(t,x1,x2,,xn)+O(2),x¯1x1+ζx1(t,x1,x1,,xn)+O(2),x¯2x2+ζx2(t,x1,x2,,xn)+O(2),x¯nxn+ζxn(t,x1,x2,,xn)+O(2),aDt¯αx¯1aDtαx1+ζx1(α)(t,x1,x2,,xn)+O(2),aDt¯αx¯2aDtαx2+ζx2(α)(t,x1,x2,,xn)+O(2),aDt¯αx¯naDtαxn+ζxn(α)(t,x1,x2,,xn)+O(2), (2.27)
where ζxi(α), i = 1, 2,..., n are infinitesimals that can be obtained in the following form
ζxi(α)=aDtα(ζxi)-αDt(τ)aDtα(xi)+n=1(αn)(n-αn+1)aDtα-n(xi)Dtn+1(τ), (2.28)
i = 1, 2,..., n. Making use of transformation (2.27) in (2.26) and equating the coefficients and omitting the terms of higher powers of , we obtain the invariant equations for (2.26) as follows
(ζxi(α)-τfit-ζx1fix1--ζxnfixn)|dαx1dtα=f1,dαx2dtα=f2,,dαxndtα=fn=0,i=1,2,,n.

Therefore, the infinitesimal generator X reads

X=τ(t,x1,x2,,xn)t+ζx1(t,x1,x2,,xn)x1+ζx2(t,x1,x2,,xn)x2++ζxn(t,x1,x2,,xn)xn, (2.29)
where
τ(t,x1,x2,,xn)=dt¯d|=0,ζxi(t,x1,x2,,xn)=dx¯id|=0,i=1,2,,n.

Therefore, the obtained prolongation formula for (2.26) is as follows

Pr(α)X(H)|H=0=0,whereH=aDtαxi-fi,i=1,2,,n,
which can be written as
ζxi(α)-Xfi=0,i=1,2,,n,
where the infinitesimals ζxi(α) are given in (2.28).

3. SYMMETRIES AND EXACT SOLUTIONS FOR SCALAR AND COUPLED FODEs

3.1. Fractional Thomas-Fermi Equation

Consider the fractional Thomas-Fermi equation [12,17] of the form

0Dtα+1x=t-α2x32,α(0,1),t>0. (3.1)

Note that, when α = 1, the above equation is the well-known classical Thomas-Fermi equation that describes the charge distribution of a neutral atom which is a function of radius t. The analytical and numerical solutions of the classical Thomas-Fermi equation were discussed in [1,72].

3.1.1. Lie point symmetries

We assume that the Thomas-Fermi equation (3.1) is invariant under one-parameter Lie group of infinitesimal point transformations given in (2.6). Hence, we obtain the following invariant equation

ζ(α+1)-32x12t-α2ζ(t,x)+α2x32t-α2-1τ(t,x)=0. (3.2)

Substituting the expression for the infinitesimal ζ(α+1) given in (2.8) into the above equation (3.2), we obtain

0Dtα+1(ζ)+n=0(α+1n)(n-α-1n+1)0Dtα+1-n(x)Dtn+1(τ)-32x12t-α2ζ(t,x)+α2x32t-α2-1τ(t,x)=0. (3.3)

The above equation (3.3) is not solvable for the arbitrary infinitesimals τ(t, x) and ζ(t, x) in general. In order to find the infinitesimals in equation (3.3), we assume

τ=τ(t),ζ=a1(t)x+a2(t),
where a1(t) and a2(t) are the unknown functions to be determined. Using the above expressions in (3.3), we obtain
a1(t)0Dtα+1x+0Dtα+1a2(t)-(α+1)t-α2x32Dt(τ)-32x12t-α2(a1(t)x+a2(t))+α2x32t-α2-1τ+n=1(α+1n)[dna1(t)dtn+(n-α-1n+1)Dtn+1(τ)]0Dtα+1-n(x)=0. (3.4)

Making use of fractional Thomas-Fermi equation (3.1) in (3.4), we obtain

n=1(α+1n)[dna1(t)dtn+(n-α-1n+1)Dtn+1(τ)]0Dtα+1-n(x)+[-12t-α2a1(t)-(α+1)t-α2Dt(τ)+α2t-α2-1τ]x32-32t-α2x12a2(t)+0Dtα+1a2(t)=0 (3.5)
which reduces to the following overdetermined system of equations
dna1(t)dtn+(n-α-1n+1)Dtn+1(τ)=0, (3.6)
-12a1(t)t-α2-(α+1)t-α2Dt(τ)+α2t-α2-1τ=0, (3.7)
a2(t)=0. (3.8)

Solving the above equations (3.6)(3.8) subject to τ(0) = 0, we obtain the explicit form of infinitesimals as

τ(t)=c1t,ζ(t,x)=-c1(α+2)x,c1𝕉.

Thus, the fractional Thomas-Fermi equation (3.1) is invariant under the following one-parameter Lie group transformation

t¯=t+c1t,x¯=x-c1(α+2)x
with the infinitesimal operator X = c1X1, where X1=tt-(α+2)x.

3.1.2. Construction of exact solution

In this subsection, we explain how to construct an exact solution for equation (3.1). The obtained infinitesimals of (3.1) are

τ(t)=c1t,ζ(t,x)=-c1(α+2)x.

Let us assume that F(x, t) is an invariant of fractional Thomas-Fermi equation (3.1), that is

X1F=tFt-(α+2)xFx=0,
which gives the characteristic equation as
dtt=dx-(α+2)x.

On solving the above equation, we obtain the invariant function

F(x,t)=k=xt(α+2),k𝕉.

Hence this yields an invariant solution as

x(t)=kt-(α+2). (3.9)

Substituting the above invariant solution in equation (3.1), we have k=(Γ(-(α+1))Γ(-2(α+1)))2. Hence, we obtain an exact solution of Thomas-Fermi equation (3.1) as

x(t)=(Γ(-(α+1))Γ(-2(α+1)))2t-(α+2),α(0,1). (3.10)

The gamma coefficient (Γ(-(α+1))Γ(-2(α+1)))in the above equation (3.30) becomes zero when α=12 and hence the equation (3.1) has a trivial solution x(t) = 0. The exact solution (3.30) of fractional Thomas-Fermi equation (3.1) for different values of α is shown in Figure 1.

Figure 1

Graphical representation of solutions of fractional Thomas-Fermi equation (3.1) for various values of α.

3.2. Bagley-Torvik Equation

Let us consider the Bagley-Torvik equation [3]

Ax¨(t)+B0Dt32x(t)+Cx(t)=f,t>0, (3.11)
where A ≠ 0, B, C are arbitrary constants and f is a function of t. It describes the motion of a rigid plate immersed in a Newtonian fluid [3]. The analytical and approximate solutions of the Bagley-Torvik equation were discussed through various methods [14,50,66].

3.2.1. Lie point symmetries

Here, we assume that the Bagley-Torvik equation (3.11) is invariant under the one-parameter Lie group of continuous point transformations (2.6). Thus, the obtained invariant equation is of the form

Aζ(2)+Bζ(32)+Cζ=τft. (3.12)

Substituting α=32 in (2.8), we obtain the expression for ζ(32) which in turn can be used in the above equation (3.12) to obtain

A[ζtt+(2ζtx-τtt)x˙+(ζxx-2τtx)x˙2-τxxx˙3+(ζx-2τt-3x˙τx)x¨]+B[0Dt(32)(ζ)+n=0(32n)(n-32n+1)Dtn+1τ0Dt32-n(x)]-τft+Cζ=0. (3.13)

The above equation (3.13) is unsolvable for the arbitrary infinitesimals τ(t, x) and ζ(t, x). In order to find the infinitesimals in equation (3.13), we assume

τ=τ(t),ζ=a1(t)x+a2(t),
where a1(t) and a2(t) are the unknown arbitrary functions to be determined. Substituting the above expressions along with
0Dt32(a1(t)x)=n=0(32n)dna1(t)dtn0Dt32-nx
and substituting equation (3.11) in (3.13) and then rearranging term by term, we have
-12Aτtx¨(t)+(2Ada1dt-Aτtt)x˙(t)+(Ad2a1dt2+cτt)x(t)+Bn=1(32n)[dna1dtn+(n-32n+1)Dtn+1(τ)]0D32-nx+Ca2(t)-τft+Ad2a2dt2+(a1(t)-32τt)f(t)+B0Dt32a2(t)=0
which reduces to the following overdetermined system
Ca2(t)-τft+Ad2a2dt2+(a1(t)-32τt)f(t)+B0Dt32a2(t)=0, (3.14)
dndtna1(t)+(n-32n+1)Dtn+1τ=0, (3.15)
Ad2a1dt2+32Cτt=0, (3.16)
2Ada1dt-Aτtt=0, (3.17)
Aτt=0. (3.18)

On solving the last three equations with A ≠ 0 and using τ (0) = 0, we obtain

τ(t)=0,a1(t)=k1,andζ(t,x)=k1x+a2(t),k1,k2𝕉. (3.19)

Substituting (3.19) in (3.14), we obtain

Aa¨2(t)+B0Dt32a2(t)+k1f(t)+Ca2(t)=0. (3.20)

Making use of Laplace transformation on both sides of the equation (3.20) and regrouping the terms, we obtain the following equation

a¯2(s)=(AB)a2(0)ss32+(AB)s2+(CB)+(AB)a˙2(0)s32+(AB)s2+(CB)+D12a2(0)s32+(AB)s2+(CB)+sD12a2(0)s32+(AB)s2+(CB)-(1B)k1f¯(s)s32+(AB)s2+(CB) (3.21)
whose inverse Laplace transformation along convolution is
a2(t)=k2(AB)t-12r=0(-AB)rt-12rE32,12(1-r)r+1(-CBt32)+k3(AB)t12r=0(-AB)rt-12rE32,12(3-r)r+1(-CBt32)+k4t12r=0(-AB)rt-12rE32,12(3-r)r+1(-CBt32)+k5t-12r=0(-AB)rt-12rE32,12(1-r)r+1(-CBt32)-k1(1B)0tf(t-ξ)ξ12r=0(-AB)ξ-12rE32,12(1-r)r+1(-CBξ32)dξ, (3.22)
where the constants k2 = a2(0), k3=a˙2(0), k4=D12a2(0) and k5=D-12a2(0). Thus, the Bagley-Torvik equation (3.11) is invariant under
t¯=t,x¯=x+(k1x+a2(t)),
where a2(t) is given in (3.22). The infinitesimal operator takes the following form
X=i=15kiXi, (3.23)
where
X1=[x-(1B)0tf(t-ξ)ξ12r=0(-AB)ξ-12rE32,12(1-r)r+1(-CBξ32)dξ]x,X2=[(AB)t-12r=0(-AB)rt-12rE32,12(1-r)r+1(-CBt32)]x,X3=[(AB)t12r=0(-AB)rt-12rE32,12(3-r)r+1(-CBt32)]x,X4=[t12r=0(-AB)rt-12rE32,12(3-r)r+1(-CBt32)]x,X5=[t-12r=0(-AB)rt-12rE32,12(1-r)r+1(-CBt32)]x.

Note that when A ≠ 0, B ≠ 0, C ≠ 0 and f (t) ≠ 0, the infinitesimal generator cannot be written as a linear combination of the space coordinate and the time coordinate. For this reason, the invariant and exact solutions of (3.11) cannot be obtained.

3.2.2. One-dimensional optimal system

In this subsection, we construct a one-dimensional optimal system for the symmetry algebra generated by X1, X2, X3, X4 and X5. In order to obtain the optimal system, we follow the algorithm provided by Olver [48] and Ibragimov [28]. The commutator table for the symmetry generators Xi, i = 1, 2,...,5 is given in Table 1.

[Xi, Xj] X1 X2 X3 X4 X5
X1 0 X2 X3 X4 X5
X2 X2 0 0 0 0
X3 X3 0 0 0 0
X4 X4 0 0 0 0
X5 X5 0 0 0 0
Table 1

Commutator table for infinitesimal generators of equation (3.11)

From the table we observe that the symmetry generators of Bagley-Torvik equation (3.11) form a closed Lie algebra ℒ of dimension five. Now we determine optimal system of one-dimensional subalgebras for (3.11). The adjoint representation of the infinitesimal generators is obtained using the following series

Ad(exp(Xi))Xj=Xj-[Xi,Xj]+12!2[Xi,[Xi,Xj]]- (3.24)

Hence we obtain the adjoint representation of form given in Table 2.

Ad(exp(∊Xi))Xj X1 X2 X3 X4 X5
X1 X1 eX2 eX3 eX4 eX5
X2 X1∊X2 X2 X3 X4 X5
X3 X1∊X3 X2 X3 X4 X5
X4 X1∊X4 X2 X3 X4 X5
X5 X1∊X5 X2 X3 X4 X5
Table 2

Adjoint representation for infinitesimal generators of equation (3.11)

Theorem 3.1.

The one-dimensional optimal system of Lie algebra ℒ for the Bagley-Torvik equation (3.11) is X1.

Proof. Define the maps 𝒡i:𝒧𝒧as i(X)=Ad(exp(Xi))X, for X and i = 1, 2,..., 5. Let X be arbitrary. Then X=i=15aiXi. The composition of maps on X takes the form

𝒡1𝒡2𝒡3𝒡4𝒡5(X)=a1X1+i=25(ai-a1)eXi (3.25)

If a1 ≠ 0, then by taking =aia1 for each i = 1, 2,..., 5, the arbitrary vector X is the scaling of X1. This completes the proof.

3.2.3. Special cases

The special cases for Bagley-Torvik equation (3.11) are discussed below.

Case 1: Let B = 0 and f(t) = 0, t > 0. Then the equation (3.11) reads

Ax¨(t)+Cx(t)=0 (3.26)
which can be written as
x¨(t)+kx(t)=0, (3.27)
where k=CA. For k > 1, the above equation (3.27) models the motion of a simple harmonic oscillator [67]. Let (3.27) be invariant under the Lie group of transformation (2.6). Then the invariant equation is
ζtt+(2ζtx-τtt+3kτxx(t))x˙+(ζxx-2τtx)x˙2-τxxx˙3-kζxx(t)+2kτtx(t)+kζ=0. (3.28)

Proceeding in the above similar manner, the above equation (3.26) is invariant under

t¯=t+τ(t,x),x¯=x+ζ(t,x),
where
τ(t,x)=[k3cos(kt)+k4sin(kt)]x+k5sin(2kt)2k-k6cos(2kt)2k+k7,ζ(t,x)=[-k3ksin(kt)+k4kcos(kt)]x2+12[k5cos(2kt)+k6sin(2kt)]x+k8x+k1cos(kt)+k2sin(kt),
ki, i = 1, 2, 3,..., 8 are constants of integration and k=CA, A ≠ 0. Hence the infinitesimal operator reads
X=i=18kiXi,
where
12X7-kX6

The commutator table for the infinitesimal generators Xi, for i = 1, 2,..., 8, is given in Table 3. By taking k = 1, the linear combinations X2X3, X2 + X3, X1 + X4, X1X4, X7, X8, 2X5 and −2X6 coincide with the operators obtained for one-dimensional harmonic oscillator equation in [67]. Also, as discussed in [67] the combinations X2X3, X1 + X4 and X7 form a compact subalgebra. The Lie symmetries of the second order ODEs are discussed in [2,8,27,49,67].

[Xi, Xj] X1 X2 X3 X4 X5 X6 X7 X8
X1 0 0 12X7-kX6 k(X5+32X8) 12X1 12X2 kX2 X1
X2 0 0 kX5-32X8 12X7+kX6 -12X2 12X1 -kX1 X2
X3 kX6-12X7 32X8-kX5 0 0 12X3 12X4 kX4 X3
X4 -k(X5+32X8) -(12X7+kX6) 0 0 -12X4 12X3 -kX3 X4
X5 -12X1 12X2 -12X3 12X4 0 12kX7 2kX6 0
X6 -12X2 -12X1 -12X4 -12X3 -12kX7 0 -2kX5 0
X7 -kX2 kX1 -kX4 kX3 -2kX6 2kX5 0 0
X8 X1 X2 X3 X4 0 0 0 0
Table 3

Commutator table for infinitesimal generators of equation (3.27)

Construction of exact solution

Consider the infinitesimal generator X = X7 + X1 + X2. Let us assume that F(x, t) is an invariant of equation (3.27), that is

XF=Ft+[cos(kt)+sin(kt)]Fx=0,
which gives the characteristic equation as
dt1=dxcos(kt)+sin(kt).

On solving the above equation, we obtain the invariant function

F(x,t)=c1=x-1k(sin(kt)-cos(kt)),c1𝕉.

Hence this yields an invariant solution as

x(t)=1k(sin(kt)-cos(kt))+c1. (3.29)

Substituting the above invariant solution (3.29) in equation (3.27), we have c1 = 0. Hence, we obtain an exact solution of equation (3.27) as

x(t)=1k(sin(kt)-cos(kt)). (3.30)

Case 2: For C = 0 and f(t) = 0, t > 0, the equation (3.11) takes the form

Ax¨(t)+B0Dt32x(t)=0. (3.31)

The above equation (3.31) is invariant under

t¯=t,x¯=x+(k1x+a2(t)),
where
a2(t)=k2E12,1(-BAt12)+k3tE12,2(-BAt12)+(BA)k4tE12,2(-BAt12)+(BA)k5tE12,1(-BAt12),
k2 = a2(0), k3=a˙2(0), k4=D12a2(0) and k5=D-12a2(0). Hence the infinitesimal operator reads
X=i=15kiXi,
where
X1=xx,X2=E12,1(-BAt12)x,X3=tE12,2(-BAt12)x,X4=(BA)tE12,2(-BAt12)xandX5=(BA)E12,1(-BAt12)x.

The Lie brackets for the above case are [X1, Xj] = −Xj for j = 2, 3, 4, 5, [Xi, Xj] = 0 for i, j = 2, 3, 4, 5..., and [X1, X1] = 0. In this case the commutator table and adjoint representation are same as that of Tables 1 and 2 respectively.

Note 7. Since the adjoint representation of the infinitesimal operators are same as that of Bagley-Torvik equation (3.11), the one-dimensional optimal system of Lie algebra is X1.

Case 3: Let C = 0, f(t)=34[At-12+Bπ]. Then (3.11) becomes

Ax¨(t)+B0Dt32x(t)=34[At-12+Bπ] (3.32)
which is invariant under
t¯=t,x¯=x+(k1x+a2(t)),
where
a2(t)=k2E12,1(-BAt12)+k3tE12,2(-BAt12)+(BA)k4tE12,2(-BAt12)+(BA)k5tE12,1(-BAt12)+(34)k1πt32E12,52(-BAt12)+(3B4A)k1πt2E12,3(-BAt12),
where k2 = a2(0), k3=a˙2(0), k4=D12a2(0) and k5=D-12a2(0). Hence the infinitesimal operator reads
X=i=15kiXi,
where
X1=[x+(34)πt32E12,52(-BAt12)+(3B4A)πt2E12,3(-BAt12)]x,X2=E12,1(-BAt-12)x,X3=tE12,2(-BAt-12)x,X4=(BA)tE12,2(-BAt-12)xandX5=(BA)E12,1(-BAt-12)x.

The commutator table and the adjoint representation of the equation (3.32) take the form same as that of Tables 1 and 2 respectively and hence the one-dimensional optimal system of Lie algebra is X1.

Note 8. We would like to point out that in the above case 2 and case 3, the infinitesimal generator cannot be written as a linear combination of the space coordinate and the time coordinate. For this reason, the invariant and exact solutions of (3.31) and (3.32) cannot be obtained.

3.3. Two-Coupled System of Fractional Quartic Oscillator

Consider the two-coupled system of fractional quartic oscillator as follows

0Dtα+1x1=4k3x13+2k5x1x22,0Dtα+1x2=4k4x23+2k5x12x2,α(0,1),t>0. (3.33)

Note that, when α = 1, k3 = 1, k4 = 8 and k5 = 6, the above system (3.33) is known as classical quartic oscillator. The integrability of the classical system was discussed in [35]. It is noteworthy to mention that when α = 1, k3 = −B, k4 = −1, k5 = −A, the above system (3.33) becomes the equations of motion for quartic potential and its detailed discussion can be found in [33].

3.3.1. Lie point symmetries

If the system given by equation (3.33) is invariant under one-parameter Lie group of transformation as given in (2.27), then the invariant equations are as follows

ζx1(α+1)=12k3x12ζx1+2k5x22ζx1+4k5x1x2ζx2, (3.34)
ζx2(α+1)=12k4x22ζx2+2k5x12ζx2+4k5x1x2ζx1. (3.35)

The above invariant system (3.34)(3.35) is not solvable for arbitrary infinitesimals τ(t, x) and ζ(t, x). Thus, we assume the infinitesimals of the form ζx1=a(t)x1+b(t)x2+c(t) and ζx2=p(t)x1+q(t)x2+r(t). Hence, the equation (3.34) can be written as

ζx1(α+1)=aDtα+1(ζx1)-(α+1)Dt(τ)aDtα+1(x1)+n=1(α+1n)(n-α-1n+1)aDtα+1-n(x1)Dtn+1(τ). (3.36)

Substituting the expression for the infinitesimal ζx1(α+1) in the above equation, we obtain

0Dtα+1(a(t)x1+b(t)x2+c(t))-(α+1)Dt(τ)0Dtα+1(a(t)x1+b(t)x2+c(t))+n=1(α+1n)(n-α-1n+1)0Dtα+1-n(x1)Dtn+1(τ)=2k1(a(t)x1+b(t)x2+c(t))+12k3x12(a(t)x1+b(t)x2+c(t))+2k5x22(a(t)x1+b(t)x2+c(t))+4k5x1x2(p(t)x1+q(t)x2+r(t)). (3.37)

We recall that

0Dtα+1a(t)x1=n=0(α+1n)dndtna(t)0Dtα+1-nx1, (3.38)
0Dtα+1b(t)x2=n=0(α+1n)dndtnb(t)0Dtα+1-nx2. (3.39)

Using equations (3.38) and (3.39) in equation (3.37), we obtain

a(t)0Dtα+1x1+n=1(α+1n)dndtna(t)0Dtα+1-nx1+b(t)0Dtα+1x2+n=1(α+1n)dndtnb(t)0Dtα+1-nx2+0Dtα+1c(t)-2k1(α+1)Dt(τ)x1-4k3(α+1)Dt(τ)x13-2k5(α+1)Dt(τ)x1x22+n=1(α+1n)(n-α-1n+1)0Dtα+1-n(x1)Dtn+1(τ)=2k1a(t)x1+2k1b(t)x2+2k1c(t)+12k3a(t)x13+12k3b(t)x12x2+12k3c(t)x12+2k5a(t)x22x1+2k5b(t)x22+2k5c(t)x22+4k5p(t)x12x2+4k5q(t)x1x22+4k5r(t)x1x2. (3.40)

Making use of fractional quartic oscillator equation (3.33) in the above equation (3.40), we obtain

-[8k3a(t)+4k3(α+1)Dt(τ)]x13+[2k2b(t)-2k1b(t)]x2+[4k4b(t)-2k5b(t)]x23+[2k5b(t)-12k3b(t)-4k5p(t)]x12x2-[2k1(α+1)Dt(τ)]x1-[2k5(α+1)Dt(τ)+4k5q(t)]x1x22-12k3c(t)x12-2k5c(t)x22-4k5r(t)x1x2+n=1(α+1n)[dndtna(t)+(n-α-1n+1)Dtn+1(τ)]0Dtα+1-nx1+Dtα+1c(t)-2k1c(t)+n=1(α+1n)dndtnb(t)0Dtα+1-nx2=0. (3.41)

In a similar manner, equation (3.35) can be reduced to

[2k1p(t)-2k2p(t)]x1+[4k3p(t)-2k5p(t)]x13+[2k5p(t)-12k4p(t)-4k5b(t)]x1x22+[4k4q(t)-4k4(α+1)Dt(τ)-12k4q(t)]x23-2k2(α+1)Dt(τ)x2-[2k5(α+1)Dt(τ)+4k5a(t)]x12x1-12k4r(t)x22-2k5r(t)x12+0Dtα+1r(t)-2k2r(t)-4k5c(t)x1x2+n=1(α+1n)dndtnp(t)0Dtα+1-nx1+n=1(α+1n)[dndtnq(t)+(n-α-1n+1)Dtn+1(τ)]0Dtα+1-nx2=0. (3.42)

Equations (3.41) and (3.42) reduces to the following overdetermined system of equations

dndtna(t)+(n-α-1n+1)Dtn+1(τ)=0,n𝕅, (3.43)
dndtnq(t)+(n-α-1n+1)Dtn+1(τ)=0,n𝕅, (3.44)
k5b(t)-6k3b(t)-2k5p(t)=0, (3.45)
k5p(t)-6k4p(t)-2k5b(t)=0, (3.46)
k5(α+1)Dt(τ)+2k5q(t)=0, (3.47)
k5(α+1)Dt(τ)+2k5a(t)=0, (3.48)
2k3a(t)+k3(α+1)Dt(τ)=0, (3.49)
2k4q(t)+k4(α+1)Dt(τ)=0, (3.50)
b(t)=c(t)=0, (3.51)
p(t)=r(t)=0. (3.52)

Equation (3.43) subjected to the condition τ(0) = 0 gives

τ(t)=c1t,a(t)=-(α+1)c12,
where c1 is an arbitrary constant. Hence we obtain infinitesimal
ζx1=-(α+1)c1x12.

Similarly, from equation (3.44) we obtain

ζx2=-(α+1)c1x22.

Thus, the two-coupled system of fractional quartic oscillator (3.33) is invariant under

t¯=t+c1t,x¯1=x1-(α+1)c1x12,x¯2=x2-(α+1)c1x22
with infinitesimal generator as
X=c1tt-(α+1)c12x1x1-(α+1)c12x2x2. (3.53)

3.3.2. Construction of exact solution

Let F(t, x) be an invariant of equation (3.33). Then

XF=tFt-(α+1)2x1Fx1-(α+1)2x2Fx2.

The characteristic equation of the above equation becomes

dtt=dx1-(α+1)2x1=dx2-(α+1)2x2.

First we consider

dtt=dx1-(α+1)2x1,
which gives the invariant solution x1(t)=kt-(α+1)2, where k is the constant of integration and is given by
k=±[14k3(4k3k4-2k3k54k3k4-k52)Γ(12(1-α))Γ(-12(1+3α))]12.

Hence, we obtain the exact solution of the coupled system of fractional quartic oscillator equations (3.33) as

x1(t)=±[14k3(4k3k4-2k3k54k3k4-k52)Γ(12(1-α))Γ(-12(1+3α))]12t-(α+1)2
and by proceeding in the similar manner, we obtain
x2(t)=±[(2k3-k58k4k3-2k52)Γ(12(1-α))Γ(-12(1+3α))]12t-(α+1)2,k3,k4,k5𝕉,α(0,1).

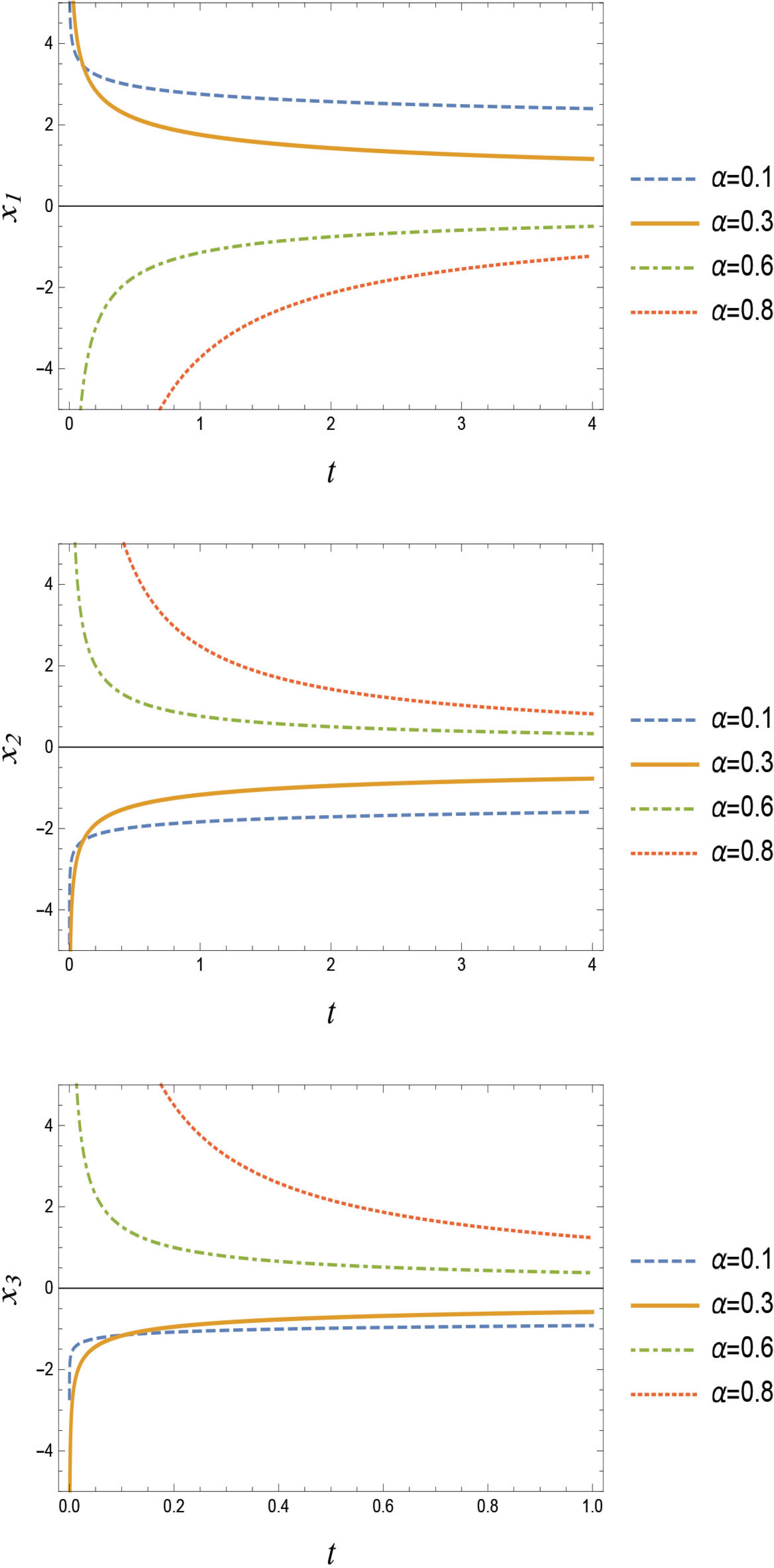
For α=13, the system (3.33) has a trivial solution xi = 0 for i = 1, 2 because of singularity of Gamma function at nonpositive integers. The graphical representations of solutions of fractional system of two-coupled quartic oscillator equation (3.33) for various values of α with k3 = 1, k4 = 8 and k5 = −5 are shown in Figure 2.

Figure 2

Graphical representations of solutions of fractional system of two-coupled quartic oscillator equation (3.33) for various values of α.

3.4. Fractional Type Coupled Equation of Motion

Consider the following fractional type coupled equation of motion having the form

0Dtα+1x1=-2Bx1x2-3Cx12,0Dtα+1x2=-3x22-Bx12,α(0,1), (3.54)
where B, C are constants. Note that, when α = 1, the system (3.54) is referred to as equations of motion for a cubic potential and its integrability is discussed in [33].

3.4.1. Lie point symmetries

Assume that the fractional type coupled equation of motion (3.54) is invariant under one-parameter Lie group of transformation (2.27). Then, we obtain the invariant system as

ζx1(α+1)=-2Bx1ζx2-2Bx2ζx1-6Cx1ζx1,ζx2(α+1)=-6x2ζx2-2Bx1ζx1. (3.55)

The above system (3.55) is not solvable for τ and ζxi, i = 1, 2, 3 in general. Then by using the following assumptions for ζx1, ζx2 and ζx3,

ζx1=a1(t)x1+a2(t)x2+a3(t),ζx2=b1(t)x1+b2(t)x2+b3(t)
and also by using the series representation given in (2.28), we obtain the following overdetermined system
dndtna1(t)+(n-αn+1)Dtn+1(τ)=0,n𝕅,dndtnb2(t)+(n-αn+1)Dtn+1(τ)=0,n𝕅,a1(t)+(α+1)Dt(τ)=0,b2(t)+(α+1)Dt(τ)=0,-b2(t)+(α+1)Dt(τ)+2a1(t)=0,a2(t)=a3(t)=0,b1(t)=b3(t)=0. (3.56)

Solving the above system (3.56) with τ(0) = 0, we obtain the infinitesimals as

τ=ct,ζx1=-(α+1)cx1,ζx2=-(α+1)cx2.

Thus, the fractional type coupled equation of motion (3.54) is invariant under one-parameter Lie group of transformations

t¯=t+ct,x¯1=x1-(α+1)cx1,x¯2=x2-(α+1)cx2
with infinitesimal generator
X=ctt-(α+1)cx1x1-(α+1)cx2x2,
which can be written as X = cX1, where
X1=tt-(α+1)(x1x1+x2x2).

3.4.2. Construction of exact solution

The invariant function F(x, t) of (3.54) reads

X1F=tFt-(α+1)(x1Fx1+x2Fx2)=0,
which gives as follows
dtt=dx1-(α+1)x1=dx2-(α+1)x2.

Thus, we obtain an exact solution of the fractional type coupled equation of motion (3.54) as follows

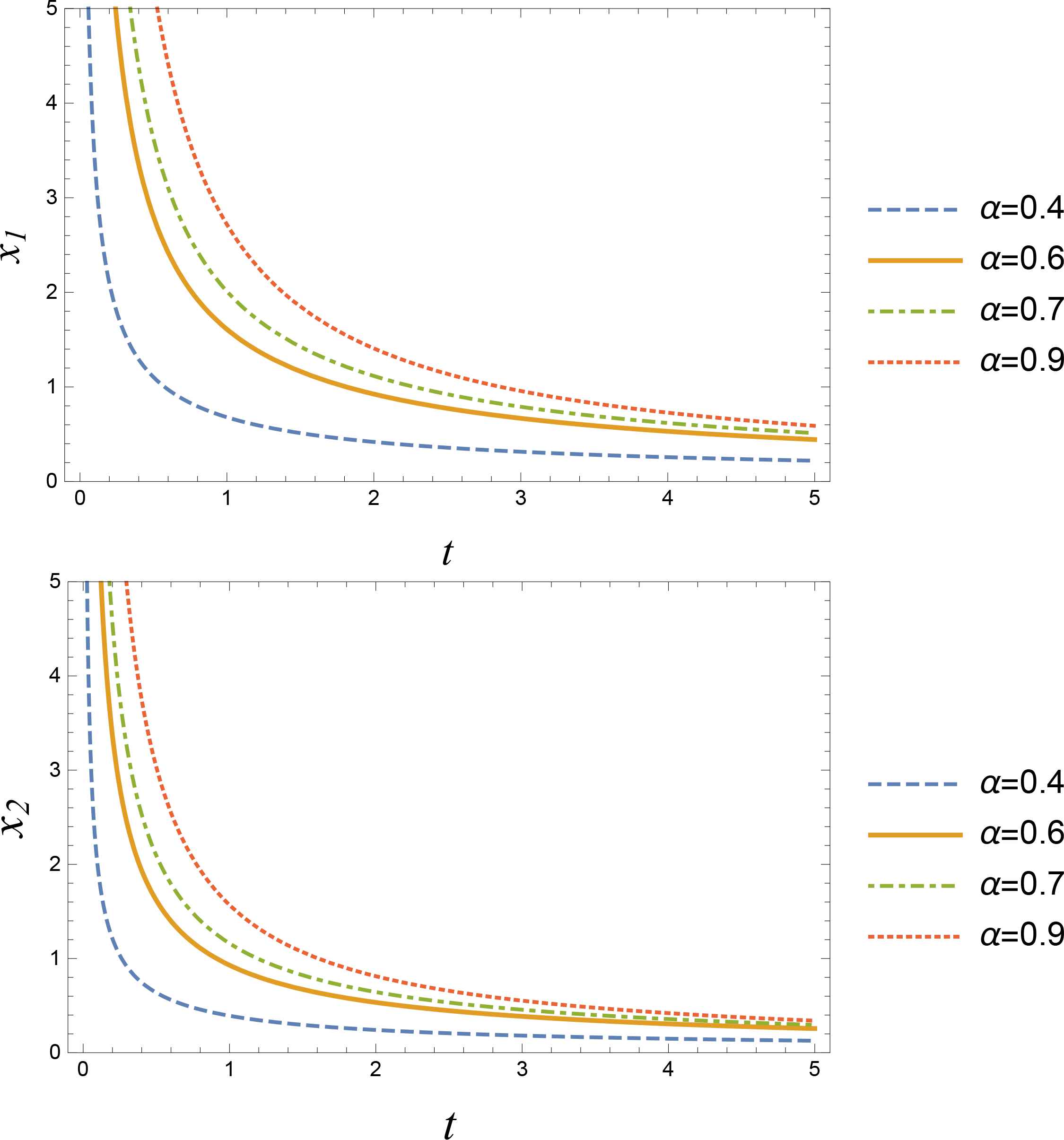
x1(t)=[9C±81C2-(16B3-24B2)Γ(-α)Γ(-(2α+1))4B2]t-(α+1),x2(t)=-12B[27C2±3C81C2-(16B3-24B2)Γ(-α)Γ(-(2α+1))4B2+Γ(-α)Γ(-(2α+1))]t-(α+1), (3.57)
where α ∈ (0, 1) and 81C2Γ(−(2α + 1)) ≥ (16B3 − 24B2)Γ(−α) must hold for the existence of real solutions to the system (3.54). In the Figure 3, the geometrical representations of solutions of fractional type coupled equation of motion for various values of α are given, in which the constants are assumed to be B = 2 and C = 8.

Figure 3

Graphical representations of solutions of fractional type coupled equation of motion for various values of α.

3.5. Fractional Lotka-Volterra ABC System

Consider the following fractional form of Lotka-Volterra ABC system [65]

0Dtαx1=x1(Cx2+x3),0Dtαx2=x2(x1+Ax3),0Dtαx3=x3(Bx1+x2),α(0,1), (3.58)
where A, B, C are constants, x1, x2 and x3 are functions of t. The approximate analytic solution of fractional two-dimensional Lotka-Volterra system was investigated in [13]. Note that, when α = 1, the system (3.58) is referred to as the classical Lotka-Volterra system or the Lotka-Volterra ABC system. The integrability of (3.58) with α = 1 was discussed in [22,35,41].

3.5.1. Lie point symmetries

Assuming that the system (3.58) is invariant under Lie group transformations given in equation (2.27), we get

ζx1(α)=Cζx2x1+Cζx1x2+ζx3x1+ζx1x3,ζx2(α)=ζx1x2+ζx2x1+Aζx3x2+Aζx2x3,ζx3(α)=Bζx1x3+Bζx3x1+ζx2x3+ζx3x2.

Let us assume that the infinitesimals ζx1, ζx2 and ζx3 are of the form

ζx1=a1(t)x1+a2(t)x2+a3(t)x3+a4(t),ζx2=b1(t)x1+b2(t)x2+b3(t)x3+b4(t),ζx3=c1(t)x1+c2(t)x2+c3(t)x3+c4(t).

Proceeding in the above similar manner, we obtain

τ=ct,ζx1=-αcx1,ζx2=-αcx2,ζx3=-αcx3.

Hence, the fractional Lotka-Volterra ABC system (3.58) is invariant under

t¯=t+ct,x¯1=x1-αcx1,x¯2=x2-αcx2,x¯3=x3-αcx3.

Hence, the infinitesimal generator is

X=ctt-αcx1x1-αcx2x2-αcx3x3.

3.5.2. Construction of exact solution

The invariant function F of system (3.58) satisfies the equation XF = 0. Hence its characteristic equation becomes

dtt=dx1-αx1=dx2-αx2=dx3-αx3.

On solving the above characteristic equation, we obtain an exact solution of fractional Lotka-Volterra ABC system (3.58) as

x1(t)=[(AC-A+1ABC+1)Γ(1-α)Γ(1-2α)]t-α,x2(t)=[(AB-B+1ABC+1)Γ(1-α)Γ(1-2α)]t-α,x3(t)=[(BC-C+1ABC+1)Γ(1-α)Γ(1-2α)]t-α, (3.59)
where α ∈ (0, 1). Note that for α=12, the solutions of the system (3.58) takes the form x1(t) = x2(t) = x3(t) = 0 which is trivial. In the Figure 4, for A = 2, B = 1 and C = −1 the geometrical representations of solutions of the fractional Lotka-Volterra system (3.58) for various values of α are given.

Figure 4

Graphical representation of solutions of fractional Lotka-Volterra ABC system (3.58) for various values of α.

Note 9. Observe that the obtained invariant solutions of the form x(t)tα holds only for the R-L fractional derivative because

dαdtα(t-α)=Γ(1-α)Γ(1-2α)t-2α,α(0,1),t>0.

These type of solutions are not available in the sense of Caputo fractional derivative [32,52].

4. CONCLUDING REMARKS AND DISCUSSION

In this article, we have shown how we can extend the Lie symmetry analysis method for n-coupled system of FODEs with R-L fractional derivative. Also, we systematically presented how to derive the Lie point symmetries of scalar and coupled FODEs namely (i) fractional Thomas-Fermi equation (3.1), (ii) Bagley-Torvik equation (3.12), (iii) two-coupled system of fractional quartic oscillator (3.33), (iv) fractional type coupled equation of motion (3.54) and (v) fractional Lotka-Volterra ABC system (3.58). Furthermore, we explicitly derived the exact solutions of the above mentioned FODEs wherever possible using the obtained Lie point symmetries. The numerical solutions of fractional Thomas-Fermi equation with Caputo derivative was discussed in [12]. In the presented work, we derived the invariant solution of Thomas-Fermi equation (3.1) in the sense of R-L fractional derivative of the form x(t) ∝ t(α+2). Since the dimensions of the symmetry algebras for Bagley-Torvik equation and its various cases are greater than 2, we constructed the optimal system of one-dimensional subalgebras. We know that the maximal dimension of symmetry algebra for second-order classical ODE is eight. For the second-order Bagley-Torvik equation (3.11), the dimension of symmetry algebra is five due to the presence of R-L fractional derivative of order 32. We also systematically found the optimal system of Lie algebra for (3.11) with various cases.

We not only extended the Lie symmetry analysis method for n-coupled system of FODEs with R-L fractional derivative but also established the efficiency of the method by solving the two-coupled system of fractional quartic oscillator (3.33), fractional type coupled equation of motion (3.54) and fractional Lotka-Volterra ABC system (3.58). For the system (3.33) the invariant solution xit-(α+1)2 for i = 1, 2. The fractional type coupled equation of motion (3.54) admits the invariant solution of the form xit−(α+1) for i = 1, 2. Similarly, we observe that the invariant solution of the fractional Lotka-Volterra ABC system (3.58) is of singular type and is of the form xitα for i = 1, 2, 3. These type of obtained exact solutions are possible in R-L fractional derivative but not in Caputo sense [32,52]. The exact solutions of the given scalar and coupled FODEs were graphically shown for various values of α.

CONFLICTS OF INTEREST

The authors declare they have no conflicts of interest.

ACKNOWLEDGMENT

The authors wish to thank the editors and all the anonymous reviewers for their fruitful comments and suggestions for the significant improvement of the manuscript.

REFERENCES

[2]DJ Arrigo, Symmetry Analysis of Differential Equations: An Introduction, John Wiley & Sons, New Jersey, 2015, pp. 192.
[8]GW Bluman and SC Anco, Symmetry and Integration Methods for Differential Equations, Springer, New York, 2002.
[14]K Diethelm and NJ Ford, Numerical solution of the Bagley-Torvik equation, BIT Numer. Math., Vol. 42, 2002, pp. 490-507.
[18]RK Gazizov, AA Kasatkin, and SY Lukashchuk, Continuous transformation groups of fractional differential equations, Vestnik USATU, Vol. 9, 2007, pp. 125-135. (in Russian)
[22]A Goriely, Integrability and Nonintegrability of Dynamical Systems, World Scientific, Singapore, 2001, pp. 436.
[26]R Hilfer, Applications of Fractional Calculus in Physics, World Scientific, Singapore, 2000, pp. 472.
[27]PE Hydon, Symmetry Methods for Differential Equations, Cambridge University Press, Cambridge, 2000.
[28]NH Ibragimov, CRC Handbook of Lie group Analysis of Differential Equations, vol. 1: Symmetries, Exact Solutions and Conservation Laws, CRC Press, Boca Raton, FL, USA, 1994.
[30]AA Kasatkin, Symmetry properties for systems of two ordinary fractional differential equations, Ufa Mathematical J., Vol. 4, 2012, pp. 65-75.
[32]AA Kilbas, JJ Trujillo, and HM Srivastava, Theory and Applications of Fractional Differential Equations, Elsevier, Amsterdam, 2006, pp. 540.
[35]M Lakshmanan and S Rajasekar, Nonlinear Dynamics: Integrability, Chaos, and Patterns, Springer-Verlag, Berlin, 2003.
[36]N Laskin, Fractional quantum mechanics, World Scientific, Singapore, 2018, pp. 360.
[38]WX Ma, Conservation laws by symmetries and adjoint symmetries, Discrete and Continuous Dynamical Systems-Series S, Vol. 11, 2018, pp. 707-721.
[43]AM Mathai and HJ Haubold, Special Functions for Applied Scientists, Springer, New York, 2008.
[48]PJ Olver, Applications of Lie Groups to Differential Equations, Springer, Heidelberg, 1986.
[49]LV Ovsiannikov, Group Analysis of Differential Equations, Academic Press, New York, 1982, pp. 432.
[50]I Podlubny, Fractional Differential Equations, Acadmic Press, New York, 1999.
Journal
Journal of Nonlinear Mathematical Physics
Volume-Issue
28 - 2
Pages
219 - 241
Publication Date
2021/03/31
ISSN (Online)
1776-0852
ISSN (Print)
1402-9251
DOI
10.2991/jnmp.k.210315.001How to use a DOI?
Copyright
© 2021 The Authors. Published by Atlantis Press B.V.
Open Access
This is an open access article distributed under the CC BY-NC 4.0 license (http://creativecommons.org/licenses/by-nc/4.0/).

Cite this article

TY  - JOUR
AU  - K. Sethukumarasamy
AU  - P. Vijayaraju
AU  - P. Prakash
PY  - 2021
DA  - 2021/03/31
TI  - On Lie Symmetry Analysis of Certain Coupled Fractional Ordinary Differential Equations
JO  - Journal of Nonlinear Mathematical Physics
SP  - 219
EP  - 241
VL  - 28
IS  - 2
SN  - 1776-0852
UR  - https://doi.org/10.2991/jnmp.k.210315.001
DO  - 10.2991/jnmp.k.210315.001
ID  - Sethukumarasamy2021
ER  -