Implementation of Tamias to Check Production Rules for Parsing Expression Grammar
- DOI
- 10.2991/jrnal.k.190828.011How to use a DOI?
- Keywords
- Syntax analysis; parser; parsing expression grammar; packrat parsing
- Abstract
Parsing Expression Grammar (PEG) proposed by Ford has the higher expressive ability than traditional Backus–Naur form, but it also has problems such as prefix capture. “Prefix capture” is a problem of hiding the language to be accepted according to the order of choice. To support checking syntax files including such mistakes, this paper proposes Tamias: a production rules checker to support checking the PEG syntax files. Tamias has PEG interpreter which can check production rules of PEG. It can verify the behavior of production rules and measure the reach rate of choices.
- Copyright
- © 2019 The Authors. Published by Atlantis Press SARL.
- Open Access
- This is an open access article distributed under the CC BY-NC 4.0 license (http://creativecommons.org/licenses/by-nc/4.0/).
1. INTRODUCTION
Backus–Naur Form (BNF) can express type-2 grammar (CFG: Context-Free Grammar) in the Chomsky hierarchy. Although BNF is traditionally used in the syntax definition of programming languages, it is possible to describe ambiguous grammar (e.g. dangling-else problem). The ambiguous grammar is not allowed programming languages because the compiler would interpret multiple languages. Unfortunately, it has been proved that there is no algorithm to judge that the CFG contains ambiguous grammar [1,2].
On the other hand, Parsing Expression Grammar (PEG) introduced by Ford [3] is not ambiguous grammar because it has ordered choice property. However, the ordered choice causes “prefix capture” [4]. “Prefix capture” is a problem of hiding the language to be accepted according to the order of choice. Checking syntax files that contain such mistakes usually confirms the behavior of the parser generated by the parser generator. However, in confirming the behavior of the parser, it is possible to check only the top level non-terminal symbols, and it is necessary to rebuild the parser for each change in the syntax files. To support checking the syntax files, this paper proposes Tamias to check the production rules in the PEG syntax files.
2. PARSING EXPRESSION GRAMMAR AND ITS PARSING TECHNIQUE
Parsing expression grammar is a formal grammar, introduced by Ford [3]. PEG is deterministic. Therefore, it is suitable for the syntax definition of the programming languages, and it was found that not only the CFG but also a part of the context-sensitive grammar can be expressed.
2.1. Definition of PEG
A PEG G is defined by the four-tuples:
- 1.
VN is a finite set of non-terminal symbols.
- 2.
Σ is a finite set of terminals (Σ ∩ VN = ϕ).
- 3.
R is a finite set of production rules.
- 4.
es is a parsing expression called the start expression.
2.2. Packrat Parsing Technique
Packrat parsing is one of the parsing techniques that can parse PEG [5]. It is a top-down parsing technique proposed by Ford in 2002. Ford solved the problem that the parsing time of PEG including a backtracking increases exponentially with linear time by memoization of the parsing result.
2.3. Prefix Capture
“Prefix capture” is a problem of hiding the language to be accepted according to the order of choice. For example, the grammar “A = (‘+’/‘++’)[a–z]” does not accept the language “++i”. The reason is that parsing “[a–z]” fails after parsing “+” of the language “++i”. To solve this problem, the order ‘+’ and ‘++’ is reversed. Thus, it is difficult to understand prefix capture immediately.
3. TAMIAS
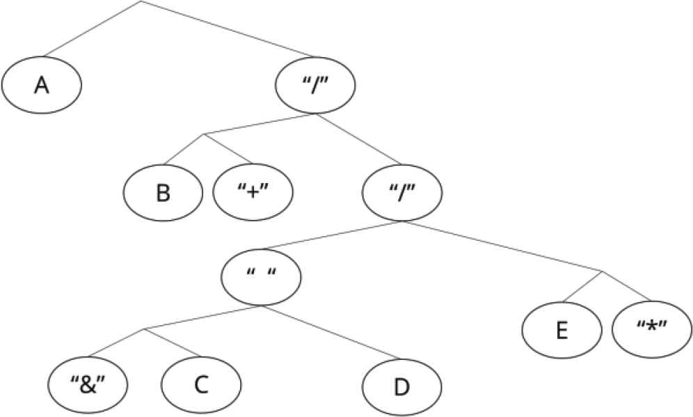
Tamias is a production rules checker to support checking the syntax files for PEG. Tamias has three areas: a text editor area, a list of non-terminal symbols, and a production rules check area. Tamias parses the production rules entered in the text editor area and converts them into an Abstract Syntax Tree (AST) as shown in Figure 1. Tamias has PEG interpreter which can check all choices and any non-terminal symbols in production rules according to PEG. Also, Tamias can parse without building a parser. A checking method using a PEG interpreter can be selected from the production rules check area. There are two methods of checking the production rules, “production rules verification” and “reach rate measurement”. Both methods require one testable symbol and one input string. A testable symbol refers to a non-terminal symbol from which a terminal symbol can be derived. Tamias recursively searches and extracts testable symbols from the grammar described in the text editor area.

AST for production rule “A = B + / & C D / E*”.
3.1. Production Rules Verification
Production rules verification can confirm whether the input string is accepted by the production rule. In one verification, production rules verification requires an expected output in addition to one testable symbol and one input string. The users can select whether the specified input string is accepted or rejected. Tamias displays the comparison result between the expected output and the output of PEG interpreter. If the expected output and the actual output are equal, “Passed” is displayed. Otherwise, “Failed” is displayed.
3.2. Reach Rate Measurement
Reach rate measurement calculates the rate of success of parsing in the ordered choice of the selected production rule. The reach rate is obtained by assigning two or more check results in one production rule to the following calculating formula (1):
3.3. PEG Interpreter
Parsing expression grammar interpreter is an interpreter that executes parsing for PEG described in text editor in Tamias. PEG interpreter requires a testable symbol and an input string. PEG interpreter shows the output of the parsing expression after parsing. By selecting testable symbols, PEG interpreter can check not only top level non-terminal symbols.
4. IMPLEMENTATION OF PEG INTERPRETER
4.1. Data used in the PEG Interpreter
- •
Production rules:
Production rules are rules obtained from non-terminal symbols that can be derived from testable symbols. One production rule is expressed as a pair of a non-terminal symbol and a parsing expression. The parsing expression is further, as shown in Figure 1, divided into ordered choice and sequence for easy execution with a PEG interpreter.
- •
Input string:
Input string has a string and a pointer that expresses a reading position.
- •
Lookup table:
Lookup table stores the reading position of the input string. The row of the lookup table corresponds to the parsing processing, and the column corresponds to the reading position of the input string.
4.2. PEG Interpreter Algorithm
We have developed a PEG interpreter based on Packrat parsing technique described in Subsection 2.2 to parse the grammar written in the text editor area. As a result, production rules can be quickly verified.
The algorithm of the PEG interpreter is shown in Figure 2. It recursively is executed until parsing of the terminal symbol.

PEG interpreter algorithm.
5. EXPERIMENT AND DISCUSSION
We confirm that PEG interpreter can parse correctly by using grammar representing addition and multiplication and grammar including prefix capture.
5.1. Production rules verification
We confirm the production rules verification method by using grammar representing the addition and multiplication below:
Sum = Product ‘+’ Product/Product
Product = Value ‘*’ Value/Value
Value = [0–9]
We write the grammar in the text editor area of Tamias and check the two languages “1 + 2 * 3” and “*2” in the production rules check area. Next, we selected “accept” as the expected output in both languages. The experimental results are shown in Figure 3.
As shown in Figure 3, the check result of the language “1 + 2 * 3” according to the grammar was “Passed”. On the other hand, the check result of the language “*2” not conforming to the grammar was “Failed”. Therefore, the production rules verification can check the grammar correctly.

Result of executing production rules verification.
5.2. Reach Rate Measurement
We confirm the reach rate measurement method by using grammar “A = (‘+’/‘++’)[a–z]” including prefix capture. However, since Tamias does not currently support input of parsing subexpression, we write the following grammar into the text editor area of Tamias.
A = Op Id
Op = ‘+’/‘++’
Id = [a–z]
Next, we measure the reach rate of “A” using two languages “+i” and “++i”. Finally, we reverse the choices of “Op” and measure the reach rate of “A” using the same languages. The experimental results are shown in Figure 4.

Two results of executing reach rate measurement.
As shown in the upper part of Figure 4, the reach rate is not 100% in the grammar including prefix capture. In contrast, as shown in the lower part of Figure 4, the reach rate is 100% in the grammar excluding prefix capture. Therefore, from the formula of reach rate [formula (1)]:
6. RELATED RESEARCH
Honda et al. [6] proposed a PEG debugger to support development of PEG. The PEG debugger has functions such as setting breakpoints, executing steps, displaying stack trace, and so on. The PEG debugger can check the behavior for one input and the occurrence of prefix capture. However, the PEG debugger cannot prove that prefix capture has not occurred for any input string.
Mori et al. [7] proposed a parser generator that can composite parsers and implemented its prototype. In the traditional method, when part of the syntax in PEG was changed, it was necessary to rebuild the corresponding parser. The proposed method can generate a parser that can deal with the problem of the traditional method. Tamias solves the problem of rebuilding the parser by implementing a PEG interpreter.
7. CONCLUSION
In this paper, we have proposed Tamias: a production rules checker to support checking the syntax files for PEG. Tamias has PEG interpreter which can check all choices and any non-terminal symbols in production rules according to PEG. Tamias can check the production rules and can measure reach rate of choices by using PEG interpreter. In the production rules verification, Tamias compares the expected output with the output of the PEG interpreter and displays the result. In the reach rate measurement, Tamias can check that the grammar does not contain prefix capture.
The experiment with a grammar representing addition and multiplication showed that Tamias can compare the expected output by users with actual output by PEG interpreter without building a parser. The experiment with a grammar including prefix capture showed that Tamias can prove that prefix capture has not occurred for any input strings by measuring reach rate.
Therefore, Tamias can support checking PEG syntax files. A future work is to improve Tamias to support parsing subexpression described by parentheses.
CONFLICTS OF INTEREST
The authors declare they have no conflicts of interest.
Authors Introduction
Tetsuro Katayama
He received the PhD degree in Engineering from Kyushu University, Fukuoka, Japan in 1996. From 1996 to 2000 he has been a Research Associate at the Graduate School of Information Science, Nara Institute of Science and Technology, Japan. Since 2000, he has been an Associate Professor at Faculty of Engineering, Miyazaki University, Japan. He is currently a Professor with the Faculty of Engineering, University of Miyazaki, Japan. His research interests include software testing and quality. He is a member of the IPSJ, IEICE, and JSSST.
Toshihiro Miyaji
He received the Bachelor’s degree in Engineering (Computer Science and Systems Engineering) from University of Miyazaki, Japan in 2018. He is currently a Master’s student in Graduate School of Engineering at the University of Miyazaki, Japan. His research interests include parsing and testing for formal languages.
Yoshihir Kita
He received a PhD degree in Systems Engineering from University of Miyazaki, Japan, in 2011. He is currently an Assistant Professor with the Computer Science, Tokyo University of Technology, Japan. His research interests software testing and biometric authentication.
Hisaaki Yamaba
He received the B.S. and M.S. degrees in Chemical Engineering from Tokyo Institute of Technology, Japan, in 1988 and 1990, respectively, and the Ph.D. degree in Systems Engineering from University of Miyazaki, Japan, in 2011. He is currently an Assistant Professor with the Faculty of Engineering, University of Miyazaki, Japan. His research interests include network security and user authentication. He is a member of SICE and SCEJ.
Kentaro Aburada
He received the B.S., M.S. and PhD degrees in Computer Science and System Engineering from the University of Miyazaki, Japan, in 2003, 2005 and 2009, respectively. He is currently an Associate Professor with the Faculty of Engineering, University of Miyazaki, Japan. His research interests include computer network and security. He is a member of IPSJ and IEICE.
Naonobu Okazaki
He received his B.S., M.S., and PhD degrees in Electrical and Communication Engineering from Tohoku University, Japan, in 1986, 1988 and 1992, respectively. He joined the Information Technology Research and Development Center, Mitsubishi Electric Corporation in 1991. He is currently a Professor with the Faculty of Engineering, University of Miyazaki since 2002. His research interests include mobile network and network security. He is a member of IPSJ, IEICE and IEEE.
REFERENCES
Cite this article
TY - JOUR AU - Tetsuro Katayama AU - Toshihiro Miyaji AU - Yoshihiro Kita AU - Hisaaki Yamaba AU - Kentaro Aburada AU - Naonobu Okazaki PY - 2019 DA - 2019/09/11 TI - Implementation of Tamias to Check Production Rules for Parsing Expression Grammar JO - Journal of Robotics, Networking and Artificial Life SP - 123 EP - 127 VL - 6 IS - 2 SN - 2352-6386 UR - https://doi.org/10.2991/jrnal.k.190828.011 DO - 10.2991/jrnal.k.190828.011 ID - Katayama2019 ER -