Combination of Microwave, Ultrasonic, Enzyme Assisted Method for Curcumin Species Extraction from Turmeric (Curcuma Longa L.) and Evaluation of their Antioxidant Activity
- DOI
- 10.2991/efood.k.210329.001How to use a DOI?
- Keywords
- Curcumin; extraction; response surface methodology; antioxidative activity
- Abstract
The combination of microwave irradiation, ultrasonication treatment, and enzyme-assisted extraction approach was applied to study the extraction efficiency and antioxidative activity of curcumin from turmeric (Curcuma longa L.) using Response Surface Optimization (RSM). The effects of the power and treatment time of microwave irradiation and ultrasonication treatment, the types of enzymes, the amounts, and interaction time of pectinase on the extraction efficiency were studied. RSM was used to select the optimum extraction conditions by implementing Box–Behnken design. The extraction ratio and antioxidant activity of extracted species are 2.89% and 83.95% under the optimal conditions, respectively, which are close to the predicted values, and are much higher than the single extraction approach. Our results show that a versatile approach for biological compounds extraction from agricultural and natural products was successfully developed, and the bioactivity of extracted species could be kept well by using our proposed combination extraction methods.
- Graphical Abstract
- Copyright
- © 2021 The Authors. Publishing services by Atlantis Press International B.V.
- Open Access
- This is an open access article distributed under the CC BY-NC 4.0 license (http://creativecommons.org/licenses/by-nc/4.0/).
1. INTRODUCTION
Turmeric is the rhizome of Curcuma longa L., and is widely used as a spice, coloring, flavoring, and traditional medicine [1–4]. Especially, the extract of turmeric (e.g., curcumin) has many beneficial effects on human health, such as antioxidation, anti-inflammatory, antibacterial and anti-cancer effects [1,3–7]. Meanwhile, curcumin has potential roles against different diseases, such as diabetes, Alzheimer’s disease [8,9], allergies, arthritis and other chronic illnesses [2,6], therefore, it is important to enhance the bioavailability of turmeric, like improve the extraction efficiency and enhance the bioactivity during the treatment of the raw materials.
Although the curcumin can be synthesized by chemical approach, the Joint FAO/WHO Expert Committee on Food Additives specifications permit only curcumin analogs extracted from natural source material to be used as food additives [10]. Meanwhile, the traditional method to extract curcumin is mainly based on the organic solvent (e.g., acetone, methanol, ethanol, ethyl acetate, isopropanol and hexane) extraction, such as the leaching, heat-reflux, and Soxhlet extraction, which usually need large amounts of harmful organic solvent, and is not environmentally friendly, may cost lots of money [11–13], it is valuable to enhance the extraction efficiency without needing large amounts of organic solvent. Furthermore, the traditional methods are also time-consuming, often have low extraction efficiencies, as well as the activity decreased dramatically since long-time or high-temperature treatment, which hindered the wide application of curcumin [14–18].
Recently, some new extraction techniques were developed and used for bioactive compounds extraction from natural products. Amongst these techniques, great attention was paid to the Ultrasonication-Assisted Extraction (UAE) [19–22], the Microwave-Assisted Extraction (MAE) [13,23,24] and the Enzyme-Assisted Extraction (EAE) [25,26] methods. Since ultrasonic energy allows greater penetration of solvent into the samples, increases the contact surface area [27–29], as well as generates expansions–compressions, which will significantly enhance the extraction efficiency of bioactive molecules [30,31]. The microwave treatment provides a rapid, safe and cost-effective method for heating, which can cause an athermal effect by breaking the hydrogen bonds between extracted molecules and matrix of samples, and can significantly retain the biological activity of the target compounds [13,16]. The EAE also has many advantages [32], like high efficiency, environmentally friendly and easy to operate [26,33]. The cellulase, pectinase, and xylanase were often used to hydrolyze and degrade plant cell wall, thus results in the intracellular contents released easily and quickly, and the concentration of target compounds was increased significantly in a relatively short time. Although these advanced techniques were applied for increasing the extraction efficiencies of bioactive species, as far as we know, there are no reports on the application of enzyme–microwave–ultrasonication assisted combination technique for the curcumin extraction from turmeric.
As the clinical and pharmacological activities, as well as other significant properties in food processing, the high-efficient extraction technology is of great significance for the fully utilizing of turmeric. Therefore, in this study, different parameters, like the ratio of solvent to raw material, extraction time, enzyme types, amount of enzyme and microwave/ultrasonic power on the total extraction efficiency and antioxidative activity of extracted species were assessed using Response Surface Methodology (RSM).
2. EXPERIMENTAL SECTION
2.1. Materials
The grounded turmeric (Curcuma longa L.) powder was obtained from KBM company (India) and sieved with a 0.1 mm sieve, standards of curcumin (analytical grade), ethanol, 1,1-Diphenyl-2-picrylhydrazyl (DPPH), cellulase (25 U/mg), pectinase (30 U/mg), and xylanase (50 U/mg) were obtained from Aladdin Reagent Co., Ltd. (Shanghai, China). The 96-wells microplate was obtained from Corning Co., Ltd. (USA).
2.2. Equipment
The UV–Visible (UV–vis) absorption spectra were recorded on a Tecan Infinite 200 PRO microplate reader (Mannedorf, Swiss). A Weili 17MX05 microwave oven with the maximal power of 700 W at a frequency of 2450 MHz (Dongling Co., Ltd., Zhongshan, China) and a Zhifeng ZF-250B open vessel ultrasonic system with a maximal power of 300 W at a frequency of 40 kHz (Zhifeng Co., Ltd., Shanghai, China) was used for treating turmeric powder. The centrifugation process was operated using a CT14RD centrifuge (Tianmei Co., Ltd., Shanghai, China).
2.3. The Extraction and Determination of Curcumin
One gram turmeric powder was mixed well with different volumes of ethanol (20, 30, 40, 50, 80 and 100 mL) for different time (0.5, 2, 4 and 8 h), then the mixtures were put into the microwave oven and treated for different time (20, 30 and 40 s) under different powers (462, 595 and 700 W), next, the solutions were ultrasonicated for different time (3, 8, 13 and 18 min) using different powers (100, 200 and 300 W). Then, different kinds of enzymes (cellulase, pectinase and xylanase) and different amounts of pectinase (0.5, 1, 2, 4, 6 and 8 mg/mL) were added into these solutions for different time (12.5, 30, 120, 240 and 480 min). Finally, 1 mL extraction solution was centrifuged at 10,000 rounds per minute for 5 min, and 10 μL supernatant was diluted to 1 mL using ethanol for the next colorimetric analysis. Meanwhile, different concentrations of curcumin standard solutions were also prepared using ethanol as the solvent. The absorbance of 300 μL diluted solution or standard curcumin solutions at 426 nm was recorded using a microplate reader (as shown in Supplementary Figure S1A). The amounts of curcumin in the extraction solutions are calculated using the standard calibration curve obtained from curcumin standard solutions (Supplementary Figure S1B).
The extraction weight of curcumin (mg) is defined as concentrations of curcumin in the final diluted solution (mg/mL) × dilution factor × total volume of the extraction solutions (mL), and the extraction ratio of curcumin (%) is defined as weight of extraction curcumin (mg)/weight of the raw turmeric powder (mg) × 100%.
2.4. The Antioxidative Activity Determination of Extracted Species
One hundred and fifty microliters of ethanol and 150 μL of DPPH (62.5 mg/L) solution (dissolved in ethanol) were mixed subsequently, the absorbance of the mixed solution at 517 nm was recorded using a microplate reader and referred to A1. One hundred and fifty microliters of ethanol and 150 μL of extraction solution was mixed subsequently, the absorbance of mixture solution at 517 nm was recorded and referred as A2. One hundred and fifty microliters μL of DPPH (62.5 mg/L) solution and 150 μL of extraction solution was mixed subsequently, the absorbance of the mixture solution at 517 nm was also recorded (as shown in Supplementary Figure S1A) and referred as A3.
The biological activity (i.e., antioxidative activity) of extracted species is defined as the clearance ratio of DPPH• free radicals (%) = [1 − (A3 − A2)/A1] × 100%.
2.5. Orthogonal Array Experiment
In this study, the experiments were based on an orthogonal array experimental design [three levels, seven factors, L18 (37)], where the following seven variables were analyzed: microwave irradiation power (factor A), microwave irradiation time (factor B), ultrasonication power (factor C), ultrasonication extraction time (factor D), the concentration of pectinase (factor E), enzyme treatment time (factor F) and the ratio of solvent to raw material (factor G), the three factor levels of these variables (high, middle and low) are list in Table 1, these variables were identified to have large effects on the extraction efficiency and biological activity of curcumin. All experiments were performed three times.
Parameter | R1 | R2 | ||||||
---|---|---|---|---|---|---|---|---|
K1 | K2 | K3 | R | K1 | K2 | K3 | R | |
A | 2.637 | 2.622 | 2.683 | 0.061 | 76.463 | 76.307 | 78.037 | 1.73 |
B | 2.59 | 2.655 | 2.697 | 0.107 | 75.368 | 77.357 | 78.082 | 2.714 |
C | 2.557 | 2.697 | 2.688 | 0.14 | 74.33 | 78.357 | 78.12 | 4.027 |
D | 2.652 | 2.613 | 2.677 | 0.064 | 77.132 | 75.873 | 77.802 | 1.929 |
E | 2.697 | 2.682 | 2.563 | 0.134 | 78.325 | 77.822 | 74.66 | 3.665 |
F | 2.642 | 2.647 | 2.653 | 0.011 | 76.71 | 76.89 | 77.207 | 0.497 |
G | 2.597 | 2.64 | 2.705 | 0.108 | 75.672 | 76.678 | 78.457 | 2.785 |
K, mean value; R, the range value, which indicated the significance of the factor’s effect.
Analysis of orthogonal design results (n = 3)
2.6. Experimental Design of RSM
A three-level four-factor Box–Behnken Design (BBD) was used for the optimal extraction conditions selection [34–36]. The ratio of solvent to raw material (factor A, the levels are 30, 40 and 50), ultrasonication power (factor B, the levels are 100, 200 and 300 W), microwave irradiation time (factor C, the levels are 30, 40 and 50 s) and concentration of enzyme (factor D, the levels are 0.5, 1 and 1.5 mg/mL) were chosen for independent variables to be optimized for the extraction of curcumin. The extraction ratio of curcumin (R1) and the biological activity (R2) was taken as the response of the design experiments. Twenty nine experiments were performed in BBD, and five replicates at the center point were used for estimation of a pure error sum of squares.
Based on the obtained results, it could determine the second-order polynomial model and regression coefficients. All the experiments were performed in triplicate. Response surface analysis was performed with Design-Expert 8.0.5b software.
3. RESULTS AND DISCUSSION
3.1. Effects of Enzyme, Ultrasonication and Microwave Irradiation on the Extraction Process
Firstly, the effects of microwave irradiation power, microwave irradiation time, ultrasonication power, ultrasonication extraction time, types of enzyme, concentrations of enzyme, enzyme treatment time and the ratio of solvent to raw material, as well as the treating time using traditional extraction method on the extraction ratio and biological activity of extracted species were studied. Here, only one treatment method was applied each time (i.e., microwave irradiation or ultrasonication treatment or enzyme assisted or traditional organic solvent extraction method). When the ratio of solvent to sample kept constant as 20, as shown in Figure 1A, the extraction ratio (R1) and biological activity of extracted species (R2) increased with increasing the microwave power from 462, 595 to 700 W (corresponding to the power levels as middle, middle-high and high) while the microwave treatment is 30 s, this may because that higher power of microwave results in the higher penetrating effect of the solvent, and the higher local temperature of treated samples, which may increase the molecules diffusion rate in the system [13,37]. When the microwave power was kept constant as 700 W, the R1 and R2 increased from 20 to 30 s, and changed a little from 30 to 40 s (Figure 1B), this may because with irradiation time increased, the efficiency of the extraction process was also enhanced, but further increase the irradiation time will result in the much higher local temperature, which will not dramatically enhance the extraction efficiency and may even induce the denaturation of the extracted species, therefore, the bioactivity of extracted compounds was decreased, this was consistent with the previous reports that the curcumin is susceptible to the temperature [23,37], therefore, a relatively short microwave treatment time was applied compared with the traditional Soxhlet extraction. Similarly, as shown in Figure 1C and 1D, the R1 and R2 increased with increasing the ultrasonication power from 100 to 200 W, and kept stable when further increased the power to 300 W (there are three levels of power for the ultrasonic generator, which are 100, 200 and 300 W). The R1 and R2 increased from 3 to 13 min, but do not change a lot when the treatment time was further increased. The type of enzyme is important for the enzyme-assisted extraction [26,33], as shown in Figure 1E, the R1 and R2 increased no matter cellulase, pectinase and xylanase were used for treating the samples for 0.5 h. To simplify the experiment, only the pectinase was selected for the next experiment, as pectinase showed higher efficiency for the curcumin extraction, the R1 and R2 are highest amongst these enzymes. As shown in Figure 1F, the R1 and R2 increased with increasing the concentration of pectinase from 0 to 2 mg/mL, and decreased when the amounts of pectinase further increased to 8 mg/mL. Meanwhile, the R1 and R2 increased when the enzyme treatment time increasing from 0 to 30 min, but decreased when the enzyme treatment time changing from 30 to 480 min (Figure 1G), these phenomena may result from the higher concentration of enzyme or longer treatment time may destroy or denaturalize the extracted species [32], the relatively short treating time could significantly save time compared with the traditional methods (see below discussed). We also studied the effect of the traditional extraction process on R1 and R2 (the extraction procedure is just by using ethanol as solvent, rather than enzyme, ultrasonication or microwave irradiation assisted), as shown in Figure 1H, the R1 and R2 decreased with decreasing the ratio of solvent to sample from 20 to 80 when the extraction time is 4 h, and the R1 and R2 increased with the extraction time from 0.5 to 4 h, and decreased when further increasing the extraction time to 8 h (Figure 1I), these phenomena may result from the denaturation or oxidization of extracted species that exposed in the air for a long time. In this study, ethanol was used as the extraction solvent, because: (1) the curcumin is susceptible to pH, ethanol was used to maintain the pH value at a constant value and eliminate the effect of pH on the extraction process [2,10], (2) to enhance the extraction efficiency (curcumin has better solubility in the ethanol than in the aqueous solutions), (3) enzyme was used in this study, the enzyme was also soluble in the polar solvent, but precipitate in the non-polar solvent, therefore, ethanol was adopted in the extraction process. However, in the next work, we might use combination methods to extract curcumin in the environmental-friendly aqueous solution, to reduce the cost of extraction, as well as the use of organic solvents. By the way, our experimental results also indicated that although the traditional extraction method has a comparable extraction efficiency, the EAE, MAE or the UAE approach can significantly enhance the extraction efficiency, since these methods cost less operation time (seconds to minutes, in accompanied with hours by just using organic solvent extraction), but with similar or higher R1 and R2.

The single parameter experiment for investigating their effects on the extraction ratio and antioxidative activity of extracted species from turmeric. Effects of single parameter like microwave irradiation power (A), microwave irradiation time (B), ultrasonication power (C), ultrasonication extraction time (D), the types of the enzyme (E), the concentration of pectinase (F), enzyme treatment time (G), the ratio of solvent to raw material (H) and extraction time using traditional solvent extraction method (I) on the extraction ratio and biological activity of extracted species, respectively. Other experimental factors are microwave irradiation power as 700 W, microwave irradiation time as 30 s, ultrasonication power as 200 W, ultrasonication extraction time as 12 min, the concentration of pectinase as 2 mg/mL, enzyme treatment time as 30 min, the ratio of solvent to raw material as 20 and traditional extraction time as 4 h, respectively. The error bars indicate the relative standard deviation of three experimental results.
3.2. The Orthogonal Experiment to Select Main Factors that Interfere with the Extraction Efficiency
Next, the orthogonal experiment [L18 (37)] was used for determining the effect of the above-mentioned experimental parameters [38], as shown in Supplementary Table S1, the R1 and R2 of each extraction procedure were summarized. The results indicated that the range of R1 is between 2.46% and 2.84%, while the range of R2 is between 71.39% and 82.65%. The mean values of K for different factors at different levels in the range analysis are shown in Table 1. The best level for each factor could be determined based on the highest mean value of the experimental conditions (K). The highest extraction ratio or biological activity for each level was clearly defined as the microwave power of 595 W, the microwave irradiation time of 30 s, the ultrasonication power of 300 W, the ultrasonication treatment time of 5 min, the concentration of pectinase of 2 mg/mL, the enzyme treatment time of 20 min, and the ratio of solvent to sample of 30. Since K was the highest at these combinations (A3B3C2D3E1F3G3). The range value (R) indicated the significance of the factor’s effect, the larger R means the bigger impact of the factor on the extraction efficiency or biological activity. Therefore, compared with the range values of different R, the factors’ levels of significance were as follows: the ultrasonication power (0.14) > concentration of pectinase (0.134) > the ratio of solvent to raw material (0.108) > microwave irradiation time (0.107) > ultrasonication extraction time (0.064) > microwave irradiation power (0.061) > enzyme treatment time (0.011), the range value for the ultrasonication power was the largest one, which indicated a small change in the ultrasonication power could result in a significant change in the extraction ratio of curcumin.
For the biological activity of extracted species, we can also get the highest K at the combination of (A3B3C2D3E1F3G3), and the factors’ levels of significance were as follows: the ultrasonication power (4.027) > concentration of pectinase (3.665) > the ratio of solvent to raw material (2.785) > microwave irradiation time (2.714) > ultrasonication extraction time (1.929) > microwave irradiation power (1.73) > enzyme treatment time (0.497), the range value for the ultrasonication power was the largest one, which indicated a small change in the ultrasonication power could result in a significant change in the biological activity of extracted species.
Based on the above mentioned experimental results, the biological activity was selected as the main factor to consider, four parameters, i.e., the ultrasonication power, pectinase concentration, solvent to raw material ratio, microwave irradiation time were chosen for the next conditional optimization experiment, and the other experimental conditions were determined as follows: microwave irradiation power as 700 W, ultrasonication treatment power as 20 min, and the enzyme treatment time as 40 min.
3.3. The RSM Experiment to Select Optimum Curcumin Extraction Conditions
Based on the selected experimental factors in the orthogonal experiment, the four factors, three levels BBD was utilized to determine the optimum extraction conditions [10,34]. The process variables and their levels used in the response surface design, as well as the experimental data under different treatment conditions were shown in Supplementary Tables S2 and S3. The fitted model for extraction ratio of curcumin (R1) and biological activity of extracted species (R2) to predict the relationship between the independent variables and the dependent variables can be expressed by R1 (%) = 2.85 + 0.079 A + 0.027 B + 0.045 C + 0.0033 D − 0.005 AB + 0.030 AC − 0.0025 AD − 0.010 BC + 0.022 BD − 0.040 CD − 0.1 A2 − 0.053 B2 − 0.029 C2 − 0.11 D2 and R2 = 83.04 + 1.95 A + 0.38 B + 1.12 C + 0.22 D + 0.33 AB + 0.90 AC + 0.12 AD − 0.42 BC + 0.41 BD − 1.32 CD − 2.99 A2 − 1.17 B2 − 0.78 C2 − 3.37 D2, where A, B, C and D are the ratio of solvent to sample, the ultrasonication power, the microwave irradiation time and the concentration of pectinase, respectively. Analysis of Variance (ANOVA) was performed to estimate the statistical significance of the factors and the interactions amongst them, and the results were summarized in Supplementary Table S3. The ANOVA showed that lack of fit was not significant for the response surface model at 95% confidence level, and the p-value indicated that only 0.27% or 0.28% probability that the model is not significant, which means that the model represented the data satisfactorily. The CV values were found to be 2.22 and 2.08 for the extraction ratio and biological activity of extracted species, respectively. As the CV is a measure expressing the standard deviation as a percentage of the mean, smaller values of CV give better reproducibility, the CV lower than 10 indicates that we had developed an adequate response model.
Therefore, the response surfaces were plotted by using Design expert software to study the effects of parameters and their interactions on the extraction ratio and biological activity of extracted species (Figure 2 and Supplementary Figure S2). These types of plots show the effects of two factors on the response at a time and the other factors were kept at level central. The maximum value predicted by the surface was confined in the smallest ellipse in the contour diagram. Elliptical contours were obtained when there was a perfect interaction between the independent variables. The 3D response surface plot in Figure 2 and Supplementary Figure S2 indicated that the maximum extraction ratio of curcumin or biological activity of extracted species could be achieved: When (1) the ratio of solvent to sample and the ultrasonication power as 30 and 200 W; (2) the ratio of solvent to sample and microwave irradiation time as 40 and 50 s; (3) the ratio of solvent to sample and concentration of pectinase as 30 and 1 mg/mL; (4) the ultrasonication power and microwave irradiation time as 200 W and 40 s; (5) the ultrasonication power and concentration of pectinase as 200 W and 1 mg/mL; and (6) the microwave irradiation time and concentration of pectinase as 40 s and 1 mg/mL while kept the other parameters at the central points, respectively.

Response surface analysis for different extraction parameters. Response surface (3D) showing the interaction effects of the ultrasonication power, microwave irradiation time, solvent to raw material ratio and enzyme concentration on the extraction ratio of curcumin, respectively. The levels of confined parameters are: ultrasonication power as 200 W, microwave irradiation time as 40 s, solvent to raw material ratio as 30 and concentration of enzyme as 1 mg/mL, respectively.
3.4. Model Adequacy Checking
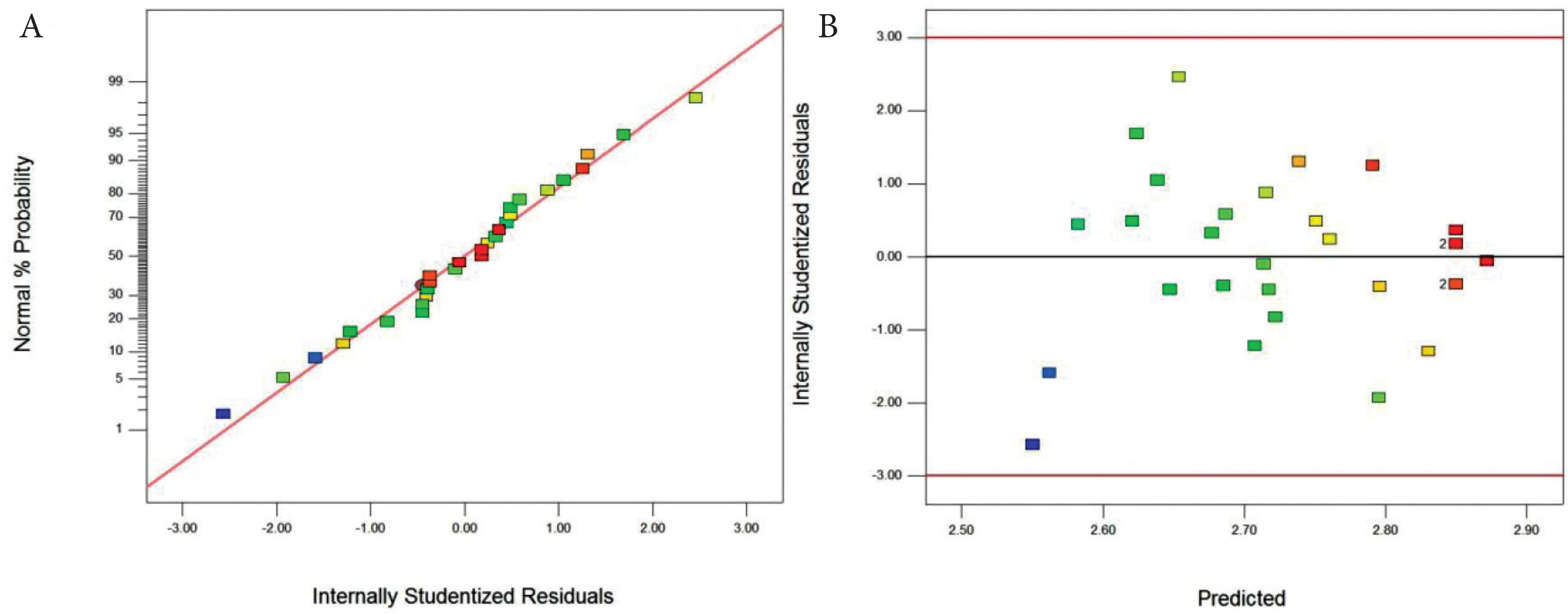
To verify the fitted model could be used for simulating the real system, as there will be poor or misleading results if the model does not show an adequate fit [34,39]. The residues from the least-squares fit play an important role in judging model adequacy. By constructing a normal probability plot of the residues, a check was made for the normality assumption, as given in Figure 3A and Supplementary Figure S3A, the normality assumption was satisfied as the residual plot approximated along a straight line. Figure 3B and Supplementary Figure S3B present a plot of residues versus the predicted response. The general impression is that the residues scatter randomly on the display, suggesting the variance of the original observation is constant for all values of R1 and R2, both plots are satisfactory. Therefore, we concluded that our proposed model is adequate to describe the extraction ratio and biological activity of curcumin by response surface methodology.

Model adequacy checking analysis. Normal probability of internally studentized residuals (A) and the plot of internally studentized residuals vs. predicted response of biological activity (B) for the extraction efficiency of extracted curcumin species, respectively.
3.5. Verification of the Predictive Model
The proposed model acquired from RSM was used to predict optimum response R1 and R2 value under the following conditions: the ratio of solvent to sample is 35.3, the ultrasonication power is 200 W, the concentration of pectinase is 0.92 mg/mL, and the microwave irradiation time is 50 s, these combinations of experimental conditions were selected by the RSM optimization approach. As shown in Table 2, the mean value of R1 as 2.891% (n = 3) and R2 as 83.95% (n = 3) obtained from the real experiment are consistent with the predicted results (R1 = 2.898% and R2 = 84.13%), which demonstrated that the response model was adequate to reflect the expected optimization.
A | B (W) | C (s) | D (mg/mL) | R1 (%) | R2 (%) | ||
---|---|---|---|---|---|---|---|
Predicted | Experimental | Predicted | Experimental | ||||
35.3 | 200 | 50 | 0.92 | 2.898 | 2.891 | 84.13 | 83.95 |
A, B, C and D are the ratio of solvent to sample, the ultrasonication power, the microwave irradiation time and the concentration of pectinase, respectively.
Predicted and experimental values of the response at optimum conditions
4. CONCLUSION
In this study, enzyme, ultrasonication and microwave irradiation-assisted combination extraction approach was used for curcumin extracting from turmeric powder and improving the antioxidative activity of extracted species. The effects of different experimental factors on the extraction process were investigated, such as microwave irradiation power, microwave irradiation time, ultrasonication power, ultrasonication extraction time, enzyme concentration, and treatment time, as well as the ratio of solvent to raw material. The orthogonal experiment [L18 (37)] was designed to determine the main factors that significantly interfere with the extraction efficiency. By utilizing the parameters selected from the orthogonal experiment, three levels, four factors BBD was utilized to find the interference between different parameters and to speculate the optimum extraction conditions. Our results demonstrated that under the optimal conditions, the maximum extraction efficiency is 2.891% and antioxidative activity is 83.95%, respectively. This study provided a simple, versatile approach to perform a combination treatment method, which could improve the natural products processing methods, significantly enhance the extraction efficiency, maintain the activity of bioproducts, save processing time and extraction solvent. In the next work, extraction process performing in environmental-friendly aqueous solution, combining the ultrasonic, microwave, and enzyme extraction in a single process, as well as the studying antioxidative activity of the extracted species in vitro and in vivo will be considered, which will be significant for improving the utilization of agricultural and food products.
CONFLICTS OF INTEREST
The authors declare they have no conflicts of interest.
AUTHORS’ CONTRIBUTION
CKW contributed to investigation, design, review, writing, and supervision. HLY contributed to the investigation. JYL contributed to the methodology.
ACKNOWLEDGMENTS
This study was funded by the
SUPPLEMENTARY MATERIALS
Figures S1–S3 and Tables S1–S3 mentioned in the manuscript can be found at
Footnotes
REFERENCES
Cite this article
TY - JOUR AU - Chengke Wang AU - Hanli Yang AU - Jiangyu Li PY - 2021 DA - 2021/04/03 TI - Combination of Microwave, Ultrasonic, Enzyme Assisted Method for Curcumin Species Extraction from Turmeric (Curcuma Longa L.) and Evaluation of their Antioxidant Activity JO - eFood SP - 73 EP - 80 VL - 2 IS - 2 SN - 2666-3066 UR - https://doi.org/10.2991/efood.k.210329.001 DO - 10.2991/efood.k.210329.001 ID - Wang2021 ER -